SOLUTION: can you help me? simplify. {{{x+5/4 /(x^2+5x)}}}

Algebra ->  Polynomials-and-rational-expressions -> SOLUTION: can you help me? simplify. {{{x+5/4 /(x^2+5x)}}}      Log On


   



Question 190039: can you help me?
simplify.
x%2B5%2F4+%2F%28x%5E2%2B5x%29

Answer by jim_thompson5910(35256) About Me  (Show Source):
You can put this solution on YOUR website!
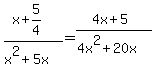
I'm assuming that the expression is %28x%2B5%2F4%29%2F%28x%5E2%2B5x%29.


%28x%2B5%2F4%29%2F%28x%5E2%2B5x%29 Start with the given expression


%284x%2Bcross%284%29%285%2Fcross%284%29%29%29%2F%284%2Ax%5E2%2B4%2A5x%29 Multiply EVERY term by the inner LCD 4 to clear out the inner fractions.


%284x%2B5%29%2F%284x%5E2%2B20x%29 Multiply and simplify



So %28x%2B5%2F4%29%2F%28x%5E2%2B5x%29 simplifies to %284x%2B5%29%2F%284x%5E2%2B20x%29


In short, %28x%2B5%2F4%29%2F%28x%5E2%2B5x%29=%284x%2B5%29%2F%284x%5E2%2B20x%29 where x%3C%3E-5 or x%3C%3E0