SOLUTION: 6 / x^2 -1 + 3 / x + 1 x + 2 / x^2 + 11x + 18 + 5 / x^2 - 3x -10 1 / x -5 - 2 / x + 5 ----------- ----------- ----------- ---- x

Algebra ->  Polynomials-and-rational-expressions -> SOLUTION: 6 / x^2 -1 + 3 / x + 1 x + 2 / x^2 + 11x + 18 + 5 / x^2 - 3x -10 1 / x -5 - 2 / x + 5 ----------- ----------- ----------- ---- x      Log On


   



Question 189553: 6 / x^2 -1 + 3 / x + 1

x + 2 / x^2 + 11x + 18 + 5 / x^2 - 3x -10

1 / x -5 - 2 / x + 5


----------------------------------------

x/2 + 8/3 = 1/6


6/x +3 = x + 8



Answer by jim_thompson5910(35256) About Me  (Show Source):
You can put this solution on YOUR website!
# 1

6%2F%28x%5E2-1%29%2B3%2F%28x%2B1%29 Start with the given expression.


6%2F%28%28x%2B1%29%28x-1%29%29%2B3%2F%28x%2B1%29


6%2F%28%28x%2B1%29%28x-1%29%29%2B%283%28x-1%29%29%2F%28%28x%2B1%29%28x-1%29%29 Multiply both the numerator and denominator of the second fraction by x-1


6%2F%28%28x%2B1%29%28x-1%29%29%2B%283x-3%29%2F%28%28x%2B1%29%28x-1%29%29 Distribute


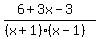
%286%2B3x-3%29%2F%28%28x%2B1%29%28x-1%29%29 Combine the fractions


%283x%2B3%29%2F%28%28x%2B1%29%28x-1%29%29 Combine like terms.


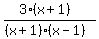
%283%28x%2B1%29%29%2F%28%28x%2B1%29%28x-1%29%29 Factor


%283cross%28%28x%2B1%29%29%29%2F%28cross%28%28x%2B1%29%29%28x-1%29%29 Cancel out the common terms.


3%2F%28x-1%29 Simplify


So 6%2F%28x%5E2-1%29%2B3%2F%28x%2B1%29=3%2F%28x-1%29 where x%3C%3E-1 or x%3C%3E1


=========================================================================

# 2

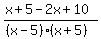
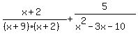
%28x%2B2%29%2F%28x%5E2%2B11x%2B18%29%2B5%2F%28x%5E2-3x-10%29 Start with the given expression.


%28x%2B2%29%2F%28%28x%2B9%29%28x%2B2%29%29%2B5%2F%28x%5E2-3x-10%29 Factor the first denominator


%28x%2B2%29%2F%28%28x%2B9%29%28x%2B2%29%29%2B5%2F%28%28x-5%29%28x%2B2%29%29 Factor the second denominator


Multiply both the numerator and denominator of the second fraction by x-5


%28x%5E2-3x-10%29%2F%28%28x%2B9%29%28x-5%29%28x%2B2%29%29%2B5%2F%28%28x-5%29%28x%2B2%29%29 FOIL


Multiply both the numerator and denominator of the second fraction by x%2B9


FOIL


%28x%5E2-3x-10%2B5x%2B45%29%2F%28%28x%2B9%29%28x-5%29%28x%2B2%29%29 Combine the fractions.


%28x%5E2%2B2x%2B35%29%2F%28%28x%2B9%29%28x-5%29%28x%2B2%29%29 Combine like terms.


%28x%5E2%2B2x%2B35%29%2F%28%28x%2B9%29%28x%5E2-3x-10%29%29 FOIL


%28x%5E2%2B2x%2B35%29%2F%28x%5E3%2B6x%5E2-37x-90%29 Expand


So where x%3C%3E-9, x%3C%3E-2, or x%3C%3E5



=========================================================================

# 3

1%2F%28x-5%29-2%2F%28x%2B5%29 Start with the given expression.


%281%28x%2B5%29%29%2F%28%28x-5%29%28x%2B5%29%29-2%2F%28x%2B5%29 Multiply both the numerator and denominator of the first fraction by x%2B5


%28x%2B5%29%2F%28%28x-5%29%28x%2B5%29%29-2%2F%28x%2B5%29 Distribute


%28x%2B5%29%2F%28%28x-5%29%28x%2B5%29%29-%282%28x-5%29%29%2F%28%28x-5%29%28x%2B5%29%29 Multiply both the numerator and denominator of the second fraction by x-5


%28x%2B5%29%2F%28%28x-5%29%28x%2B5%29%29-%282x-10%29%2F%28%28x-5%29%28x%2B5%29%29 Distribute


%28x%2B5-%282x-10%29%29%2F%28%28x-5%29%28x%2B5%29%29 Subtract the fractions


%28x%2B5-2x%2B10%29%2F%28%28x-5%29%28x%2B5%29%29 Distribute


%28-x%2B15%29%2F%28%28x-5%29%28x%2B5%29%29 Combine like terms.


%28-x%2B15%29%2F%28x%5E2-25%29 FOIL


So 1%2F%28x-5%29-2%2F%28x%2B5%29=%28-x%2B15%29%2F%28x%5E2-25%29 where x%3C%3E-5 or x%3C%3E5



=========================================================================

# 4

x%2F2%2B8%2F3=1%2F6 Start with the given equation.


Multiply both sides by the LCD 6 to clear any fractions.


3x%2B2%288%29=1 Simplify


3x%2B16=1 Multiply.


3x=1-16 Subtract 16 from both sides.


3x=-15 Combine like terms on the right side.


x=%28-15%29%2F%283%29 Divide both sides by 3 to isolate x.


x=-5 Reduce.


----------------------------------------------------------------------

Answer:

So the answer is x=-5



=========================================================================

# 5

I'm assuming that the equation is 6%2Fx+%2B3+=+x+%2B+8???


6%2Fx+%2B3+=+x+%2B+8 Start with the given equation.


cross%28x%29%286%2Fcross%28x%29%29+%2B3x+=+x%2Ax+%2B+8%2Ax Multiply EVERY term by the LCD "x"


6%2B3x+=+x%5E2+%2B+8x Multiply and simplify


0+=+x%5E2+%2B+8x-3x-6 Subtract 3x from both sides. Subtract 6 from both sides.


0+=+x%5E2+%2B+5x-6 Combine like terms.


0=%28x%2B6%29%28x-1%29 Factor


x%2B6=0 or x-1=0 Set each factor equal to zero


x=-6 or x=1 Solve for "x" in each case


So the solutions are x=-6 or x=1


----------------------------------

OR...

Is the equation 6%2F%28x%2B3%29+=+x+%2B+8 ????


6%2F%28x%2B3%29+=+x+%2B+8 Start with the given equation.


6+=+%28x%2B8%29%28x%2B3%29 Multiply both sides by x%2B3.


6+=+x%5E2%2B11x%2B24 FOIL


0+=+x%5E2%2B11x%2B24-6 Subtract 6 from both sides.


0+=+x%5E2%2B11x%2B18 Combine like terms.


0+=+%28x%2B9%29%28x%2B2%29 Factor


x%2B9=0 or x%2B2=0 Set each factor equal to zero


x=-9 or x=-2 Solve for "x" in each case


So the solutions are x=-9 or x=-2