SOLUTION: y^2+5y+4/y^2-49 divide by 2y^2+5y-12/y^2+9y+14 Divide. State any restrictions on the variable.

Algebra ->  Polynomials-and-rational-expressions -> SOLUTION: y^2+5y+4/y^2-49 divide by 2y^2+5y-12/y^2+9y+14 Divide. State any restrictions on the variable.       Log On


   



Question 189465: y^2+5y+4/y^2-49 divide by 2y^2+5y-12/y^2+9y+14


Divide. State any restrictions on the variable.

Answer by jim_thompson5910(35256) About Me  (Show Source):
You can put this solution on YOUR website!

Start with the given expression.


Multiply the first fraction %28y%5E2%2B5y%2B4%29%2F%28y%5E2-49%29 by the reciprocal of the second fraction %282y%5E2%2B5y-12%29%2F%28y%5E2%2B9y%2B14%29.


Factor y%5E2%2B5y%2B4 to get %28y%2B4%29%28y%2B1%29.


Factor y%5E2-49 to get %28y-7%29%28y%2B7%29.


Factor y%5E2%2B9y%2B14 to get %28y%2B7%29%28y%2B2%29.


Factor 2y%5E2%2B5y-12 to get %28y%2B4%29%282y-3%29.


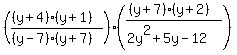
Combine the fractions.


Highlight the common terms.


Cancel out the common terms.


%28%28y%2B1%29%28y%2B2%29%29%2F%28%28y-7%29%282y-3%29%29 Simplify.


%28y%5E2%2B3y%2B2%29%2F%282y%5E2-17y%2B21%29 FOIL


So simplifies to %28y%5E2%2B3y%2B2%29%2F%282y%5E2-17y%2B21%29.


In other words, where y%3C%3E-7, y%3C%3E-4, y%3C%3E3%2F2, or y%3C%3E7 (these are the restrictions)