SOLUTION: Hi there,I'm new so im sorry if i do not do something correctly. I am too embarrassed to ask questions in class and... Can you please explain to me how to work out the following pr

Algebra ->  Polynomials-and-rational-expressions -> SOLUTION: Hi there,I'm new so im sorry if i do not do something correctly. I am too embarrassed to ask questions in class and... Can you please explain to me how to work out the following pr      Log On


   



Question 189078: Hi there,I'm new so im sorry if i do not do something correctly. I am too embarrassed to ask questions in class and... Can you please explain to me how to work out the following problem?
3%2By
______
y%5E2%2B9
Minus
y-3
______
9-y%5E2
I tried this and here is my answer:
+++1
_____
+%28y-3%29%28y%2B3%29

Found 2 solutions by stanbon, jim_thompson5910:
Answer by stanbon(75887) About Me  (Show Source):
You can put this solution on YOUR website!
please explain to me how to work out the following problem?
[(3+y)/(y^2+9)] - [(y-3)/(9-y^2)]
I tried this and here is my answer:
1 / [(y-3)(y+3)]
------------------------------------
[(3+y)/(y^2+9)] - [(y-3)/(9-y^2)]
lcd = -(y^2+9)(y^2-9)
---------------------------------
Rewrite each fraction with the lcd as its denominator:
= [(y+3)(y^2-9)]/lcd - [(y-3)(y^2+9)]/lcd
Combine the numerators over the lcd:
= [[y^3+3y^2-9y-27] - (y^3-3y^2+9y-27)]]/lcd
= (6y^2-18y)/lcd
= [6y(y-3)]/[-(y^2+9)(y^2-9)]
= -(6y)/[(y^2+9)(y+3)]
============================
Cheers,
Stan H.

Answer by jim_thompson5910(35256) About Me  (Show Source):
You can put this solution on YOUR website!
You should never feel embarrassed to ask questions. You're asking them now aren't you?


%283%2By%29%2F%28y%5E2%2B9%29-%28y-3%29%2F%289-y%5E2%29 Start with the given expression.


%283%2By%29%2F%28y%5E2%2B9%29-%28y-3%29%2F%28%283-y%29%283%2By%29%29 Factor 9-y%5E2 to get %283-y%29%283%2By%29 (use the difference of squares)


%28y%2B3%29%2F%28y%5E2%2B9%29-%28y-3%29%2F%28-%28y-3%29%28y%2B3%29%29 Factor a negative 1 from 3-y to get -%28y-3%29. Also, rearrange the terms.


%28y%2B3%29%2F%28y%5E2%2B9%29-cross%28%28y-3%29%29%2F%28-cross%28%28y-3%29%29%28y%2B3%29%29 Cancel out the common terms.


%28y%2B3%29%2F%28y%5E2%2B9%29-1%2F%28-%28y%2B3%29%29 Simplify


%28y%2B3%29%2F%28y%5E2%2B9%29%2B1%2F%28y%2B3%29 Reduce


%28%28y%2B3%29%28y%2B3%29%29%2F%28%28y%5E2%2B9%29%28y%2B3%29%29%2B1%2F%28y%2B3%29 Multiply both the numerator and denominator of the first fraction by y%2B3


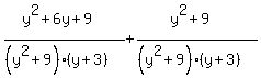
%28y%5E2%2B6y%2B9%29%2F%28%28y%5E2%2B9%29%28y%2B3%29%29%2B1%2F%28y%2B3%29 FOIL


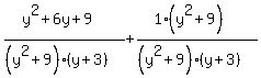
Multiply both the numerator and denominator of the second fraction by y%5E2%2B9


Distribute


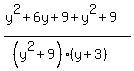
%28y%5E2%2B6y%2B9%2By%5E2%2B9%29%2F%28%28y%5E2%2B9%29%28y%2B3%29%29 Add the fractions.


%282y%5E2%2B6y%2B18%29%2F%28%28y%5E2%2B9%29%28y%2B3%29%29 Combine like terms.


So where y%3C%3E-3