SOLUTION: x+7/X^2-49
Algebra
->
Polynomials-and-rational-expressions
-> SOLUTION: x+7/X^2-49
Log On
Algebra: Polynomials, rational expressions and equations
Section
Solvers
Solvers
Lessons
Lessons
Answers archive
Answers
Click here to see ALL problems on Polynomials-and-rational-expressions
Question 187779
This question is from textbook
college mathematics 1
:
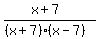
x+7/X^2-49
This question is from textbook
college mathematics 1
Answer by
jim_thompson5910(35256)
(
Show Source
):
You can
put this solution on YOUR website!
Start with the given expression.
Factor the denominator.
Highlight the common terms.
Cancel out the common terms.
Simplify
So
where
or