Question 184808This question is from textbook Algebra and Trigonometry Structure and Method book 2
: I have been working on this math problem and I can't seem to figure it out. I was wondering if someone could help me? Please and Thank You!! I would deeply appreciate it!!
Find all intercepts of the parabola y-2=-1/2(x-4)^2
This question is from textbook Algebra and Trigonometry Structure and Method book 2
Found 2 solutions by jojo14344, MathTherapy: Answer by jojo14344(1513) (Show Source):
You can put this solution on YOUR website!
Given: ---> , distribute and transfer to the right.

, EQN 1
First, we'll find the vertex thru Vertex form: 
where of the vertex
we complete the square:
Divide the whole eqn by :
--->






You see, & --->VERTEX (4,2)
Next:
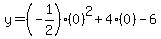
Let , as per EQN 1

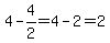
, Y Intercept
Next:
For the X Intercepts, we solve the Eqn1:
by QUADRATIC, where
Solving for he discriminant: 
Therefore,


Also, 
Then we see the graph, plotting all intercepts:

Thank you,
Jojo
Answer by MathTherapy(10801) (Show Source):
You can put this solution on YOUR website!
I have been working on this math problem and I can't seem to figure it out. I was wondering if someone could help me?
Please and Thank You!! I would deeply appreciate it!!
Find all intercepts of the parabola y-2=-1/2(x-4)^2
TOTALLY, TOTALLY UNNECESSARY steps by the person who responded.
----- Adding 2 to both sides
----- Vertex form of a parabola, where the VERTEX, (h, k) = (4, 2)
"h" is the x-coordinate of the vertex of the parabola, is also the paeabola's Axis of Symmetry, as well as the MIDWAY point
between the x-intercepts.
If MiDWAY between 2 points of a HORIZONTAL line is 4, then LEFT and RIGHT endpoints are: , and .
Therefore, x-intercepts are 2 and 6, or at the coordinate points: (2, 0) and (6, 0).
Although more time-consuming, we can also do the following:
---- Adding 2 to both sides
---- Substituting 0 for y, since y-values on x-axis are 0
- 2(0) = ---- Multiplying each side by - 2
(x - 2)(x - 6) = 0 ---- Factorizing the trinomial
x - 2 = 0 OR x - 6 = 0
x = 2 OR x = 6
x-INTERCEPTS: (2, 0) (6, 0)
|
|
|