SOLUTION: please help me solve these problems perform the indicated operations 1. x3-1 divided by 9x2+9x+9 x2+1 x2-1

Algebra ->  Polynomials-and-rational-expressions -> SOLUTION: please help me solve these problems perform the indicated operations 1. x3-1 divided by 9x2+9x+9 x2+1 x2-1      Log On


   



Question 184262: please help me solve these problems
perform the indicated operations
1. x3-1 divided by 9x2+9x+9
x2+1 x2-1

Answer by jim_thompson5910(35256) About Me  (Show Source):
You can put this solution on YOUR website!

%28%28x%5E3-1%29%2F%28x%5E2%2B1%29%29%2F%28%289x%5E2%2B9x%2B9%29%2F%28x%5E2-1%29%29 Start with the given expression.


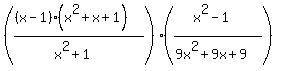
%28%28x%5E3-1%29%2F%28x%5E2%2B1%29%29%28%28x%5E2-1%29%2F%289x%5E2%2B9x%2B9%29%29 Multiply the first fraction %28x%5E3-1%29%2F%28x%5E2%2B1%29 by the reciprocal of the second fraction %289x%5E2%2B9x%2B9%29%2F%28x%5E2-1%29.


Factor x%5E3-1 to get %28x-1%29%2A%28x%5E2%2Bx%2B1%29.


Factor x%5E2-1 to get %28x-1%29%2A%28x%2B1%29.


Factor 9x%5E2%2B9x%2B9 to get 9%28x%5E2%2Bx%2B1%29.


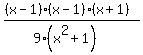
Combine the fractions.


Highlight the common terms.


Cancel out the common terms.


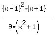
%28%28x-1%29%28x-1%29%28x%2B1%29%29%2F%289%28x%5E2%2B1%29%29 Simplify.


%28%28x-1%29%5E2%28x%2B1%29%29%2F%289%28x%5E2%2B1%29%29 Condense the terms.


So %28%28x%5E3-1%29%2F%28x%5E2%2B1%29%29%2F%28%289x%5E2%2B9x%2B9%29%2F%28x%5E2-1%29%29 simplifies to %28%28x-1%29%5E2%28x%2B1%29%29%2F%289%28x%5E2%2B1%29%29.