SOLUTION: Use the Binomial Theorem to expand (3r-2)^5

Algebra ->  Polynomials-and-rational-expressions -> SOLUTION: Use the Binomial Theorem to expand (3r-2)^5      Log On


   



Question 183017This question is from textbook saxon algebra 2
: Use the Binomial Theorem to expand (3r-2)^5 This question is from textbook saxon algebra 2

Answer by jim_thompson5910(35256) About Me  (Show Source):
You can put this solution on YOUR website!


%283r-2%29%5E5 Start with the given expression

To expand this, we're going to use binomial expansion. So let's look at Pascal's triangle:
1   

1   1   

1   2   1   

1   3   3   1   

1   4   6   4   1   

1   5   10   10   5   1   




Looking at the row that starts with 1,5, etc, we can see that this row has the numbers:

1, 5, 10, 10, 5, and 1

These numbers will be the coefficients of our expansion. So to expand %283r-2%29%5E5, simply follow this procedure:
Write the first coefficient. Multiply that coefficient with the first binomial term 3r and then the second binomial term -2. Repeat this until all of the coefficients have been written.

Once that has been done, add up the terms like this:


Notice how the coefficients are in front of each term.



However, we're not done yet.


Looking at the first term 1%283r%29%28-2%29, raise 3r to the 5th power and raise -2 to the 0th power.

Looking at the second term 5%283r%29%28-2%29 raise 3r to the 4th power and raise -2 to the 1st power.

Continue this until you reach the final term.


Notice how the exponents of 3r are stepping down and the exponents of -2 are stepping up.


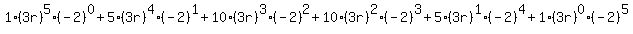
So the fully expanded expression should now look like this:





Distribute the exponents


Multiply


243r%5E5-810r%5E4%2B1080r%5E3-720r%5E2%2B240r-32 Multiply the terms with their coefficients


So %283r-2%29%5E5 expands and simplifies to 243r%5E5-810r%5E4%2B1080r%5E3-720r%5E2%2B240r-32.


In other words, %283r-2%29%5E5=243r%5E5-810r%5E4%2B1080r%5E3-720r%5E2%2B240r-32