SOLUTION: {{{((4x^2-1)/(16x+8))/((2x^2+x-1) /(5x^2-1))}}}

Algebra ->  Polynomials-and-rational-expressions -> SOLUTION: {{{((4x^2-1)/(16x+8))/((2x^2+x-1) /(5x^2-1))}}}      Log On


   



Question 179760: %28%284x%5E2-1%29%2F%2816x%2B8%29%29%2F%28%282x%5E2%2Bx-1%29+%2F%285x%5E2-1%29%29
Answer by Edwin McCravy(20067) About Me  (Show Source):
You can put this solution on YOUR website!
%28%284x%5E2-1%29%2F%2816x%2B8%29%29%2F%28%282x%5E2%2Bx-1%29+%2F%285x%5E2-1%29%29

Write the top fraction divided by the bottom
fraction:



Invert the second fraction and change the 
division to multiplication:



Everything will factor except the 5x%5E2-1, 
which should be written in parentheses:



Indicate the multiplicaton of the numerators and 
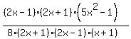
the denominators all as one fraction:

%28%282x-1%29%282x%2B1%29%285x%5E2-1%29%29%2F%288%282x%2B1%29%282x-1%29%28x%2B1%29%29

Cancel the %282x-1%29's



Cancel the %282x%2B1%29's



All that's left is:

%285x%5E2-1%29%2F%288%28x%2B1%29%29

You can leave it that way or 
distribute out the bottom:

%285x%5E2-1%29%2F%288x%2B8%29

Edwin