SOLUTION: x^2-5x+4 -------- x^2-1 times x^2+5x+4 -------- x^2-9 hi i need to simplify this and list any restrictions that there are. please helppp. thank you so much.

Algebra ->  Polynomials-and-rational-expressions -> SOLUTION: x^2-5x+4 -------- x^2-1 times x^2+5x+4 -------- x^2-9 hi i need to simplify this and list any restrictions that there are. please helppp. thank you so much.      Log On


   



Question 178842: x^2-5x+4
--------
x^2-1
times
x^2+5x+4
--------
x^2-9

hi i need to simplify this and list any restrictions that there are.
please helppp.
thank you so much.

Answer by jim_thompson5910(35256) About Me  (Show Source):
You can put this solution on YOUR website!

%28%28x%5E2-5x%2B4%29%2F%28x%5E2-1%29%29%28%28x%5E2%2B5x%2B4%29%2F%28x%5E2-9%29%29 Start with the given expression.


%28%28%28x-1%29%28x-4%29%29%2F%28x%5E2-1%29%29%28%28x%5E2%2B5x%2B4%29%2F%28x%5E2-9%29%29 Factor x%5E2-5x%2B4 to get %28x-1%29%28x-4%29.


Factor x%5E2-1 to get %28x-1%29%28x%2B1%29.


Factor x%5E2%2B5x%2B4 to get %28x%2B4%29%28x%2B1%29.


Factor x%5E2-9 to get %28x-3%29%28x%2B3%29.


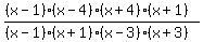
Combine the fractions.


Highlight the common terms.


Cancel out the common terms.


%28%28x-4%29%28x%2B4%29%29%2F%28%28x-3%29%28x%2B3%29%29 Simplify.


%28x%5E2-16%29%2F%28x%5E2-9%29 FOIL


So %28%28x%5E2-5x%2B4%29%2F%28x%5E2-1%29%29%28%28x%5E2%2B5x%2B4%29%2F%28x%5E2-9%29%29 simplifies to %28x%5E2-16%29%2F%28x%5E2-9%29.


In other words, where x%3C%3E-3, x%3C%3E-1, x%3C%3E1, or x%3C%3E3 (these are the restrictions)