Question 178268This question is from textbook Algebra and Trigonometry Structure and Method book 2
: I have been struggling to figure out this math problem and I was wondering if someone could help me? Please and Thank You!! I would deeply appreciate it!!
Binomials Containing Radicals
Simplify. Assume that each radical represents a real number.
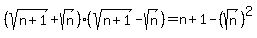
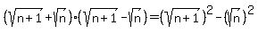
(√(n+1) +√n)( √(n+1) -√n)
This question is from textbook Algebra and Trigonometry Structure and Method book 2
Found 3 solutions by jim_thompson5910, EMStelley, Alan3354: Answer by jim_thompson5910(35256) (Show Source): Answer by EMStelley(208) (Show Source):
You can put this solution on YOUR website! If you remember, when you are multiplying two binomials, you can use a mind trick called FOIL (first, outside, inside, last). Just in case you haven't heard this before, it means multiply the two first terms of each binomial, then the two outside terms, then the two inside terms, and finally, the two last terms. So, for

So, once we FOIL, we get

Now, simplifying (remember that sqrt(x)sqrt(x)=x) we get


So, oddly enough, that entire expression simplifies to just 1. Doesn't that just annoy you? :)
Answer by Alan3354(69443) (Show Source):
You can put this solution on YOUR website! Simplify. Assume that each radical represents a real number.
(√(n+1) +√n)( √(n+1) -√n)
-----------------

Treat the radicals as x and y, then it's (x+y)*(x-y) = x^2-y^2
So it's
(n+1) - n
= 1
|
|
|