SOLUTION: Verify algebraically, that (Fof^-1)(x)=x for f(x)=1/(2x+4)

Algebra ->  Polynomials-and-rational-expressions -> SOLUTION: Verify algebraically, that (Fof^-1)(x)=x for f(x)=1/(2x+4)      Log On


   



Question 177049: Verify algebraically, that (Fof^-1)(x)=x for f(x)=1/(2x+4)
Answer by Earlsdon(6294) About Me  (Show Source):
You can put this solution on YOUR website!
Your problem statement is a little unclear! Did you mean to write:
Verify algebraically that f%28f%5E%28-1%29%28x%29%29+=+x for f%28x%29+=+1%2F%282x%2B4%29
I'll assume that you did and we'll proceed.
First, we find f%5E%28-1%29%28x%29
Start with the given function, but replace the f%28x%29with y:
y+=+%281%2F%282x%2B4%29%29 Now exchange the x and the y.
x+=+1%2F%282y%2B4%29 Next, solve this for y. Multiply both sides by (2y+4)
x%282y%2B4%29+=+1 Divide both sides by x.
2y%2B4+=+1%2Fx Subtract 4 from both sides.
2y+=+%281%2Fx%29-4 Simplify the right side.
2y+=+%281-4x%29%2Fx Now divide both sides by 2.
y+=+%281-4x%29%2F2x Finally, replace the y with f%5E%28-1%29%28x%29
f%5E%28-1%29%28x%29+=+%28%281-4x%29%2F2x%29
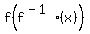
Now you can find f%28f%5E%28-1%29%28x%29%29
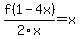
f%28f%5E%28-1%29%28x%29%29+=+f%28%281-4x%29%2F2x%29 but f%28x%29+=+1%2F%282x%2B4%29, so...
f%28%281-4x%29%2F2x%29+=+1%2F%28%28cross%282%29%28%281-4x%29%2Fcross%282%29x%29%2B4%29%29 Simplifying this...
f%28%281-4x%29%2F2x%29+=+1%2F%28%281cross%28-4x%29%2Bcross%284x%29%29%2Fx%29
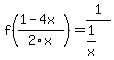
f%28%281-4x%29%2F2x%29+=+1%2F%281%2Fx%29 so...
f%281-4x%29%2F2x+=+x and so
f%28f%5E%28-1%29%28x%29%29+=+x for f%28x%29+=+1%2F%282x%2B4%29