SOLUTION: [x-5]/[x^2-4] - 3x/[4x(2-x)]

Algebra ->  Polynomials-and-rational-expressions -> SOLUTION: [x-5]/[x^2-4] - 3x/[4x(2-x)]      Log On


   



Question 174872: [x-5]/[x^2-4] - 3x/[4x(2-x)]
Found 2 solutions by Alan3354, jim_thompson5910:
Answer by Alan3354(69443) About Me  (Show Source):
You can put this solution on YOUR website!
[x-5]/[x^2-4] - 3x/[4x(2-x)]
=%28%28x-5%29%2F%28x-2%29%2A%28x%2B2%29%29+%2B+3x%2F%284x%2A%28x-2%29%29 Note change in minus signs in 2 places.
=
Now the DEN is the same.
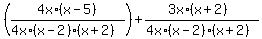
=%284x%2A%28x-5%29+%2B+3x%2A%28x%2B2%29%29%2F%284x%2A%28x-2%29%2A%28x%2B2%29%29
=%284x%5E2-20x+%2B+3x%5E2%2B6x%29%2F%284x%2A%28x-2%29%2A%28x%2B2%29%29
=%287x%5E2-14x%29%2F%284x%2A%28x-2%29%2A%28x%2B2%29%29
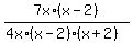
=7x%2A%28x-2%29%2F%284x%2A%28x-2%29%2A%28x%2B2%29%29
=7%2F%284%2A%28x%2B2%29%29

Answer by jim_thompson5910(35256) About Me  (Show Source):
You can put this solution on YOUR website!
%28x-5%29%2F%28x%5E2-4%29-3x%2F%284x%282-x%29%29 Start with the given expression.


%28x-5%29%2F%28%28x%2B2%29%28x-2%29%29-3x%2F%284x%282-x%29%29 Factor the first denominator x%5E2-4 to get %28x%2B2%29%28x-2%29


%28x-5%29%2F%28%28x%2B2%29%28x-2%29%29-3x%2F%28-4x%28x-2%29%29 Factor the second denominator 4x%282-x%29 to get -4x%28x-2%29


%28x-5%29%2F%28%28x%2B2%29%28x-2%29%29%2B3x%2F%284x%28x-2%29%29 Reduce


Take note that the LCD is 4x%28x%2B2%29%28x-2%29


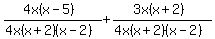
%284x%28x-5%29%29%2F%284x%28x%2B2%29%28x-2%29%29%2B3x%2F%284x%28x-2%29%29 Multiply the first fraction by %284x%29%2F%284x%29 (to get the denominator equal to the LCD)



Multiply the second fraction by %28x%2B2%29%2F%28x%2B2%29 (to get the denominator equal to the LCD)


Distribute


%284x%5E2-20x%2B3x%5E2%2B6x%29%2F%284x%28x%2B2%29%28x-2%29%29 Add the fractions. This is now possible because the fractions have equal denominators.


%287x%5E2-14x%29%2F%284x%28x%2B2%29%28x-2%29%29 Combine like terms.


%287x%28x-2%29%29%2F%284x%28x%2B2%29%28x-2%29%29 Factor out the GCF 7x


Highlight the common terms.


Cancel out the common terms.


%287%29%2F%284%28x%2B2%29%29 Simplify


%287%29%2F%284x%2B8%29 Distribute



So %28x-5%29%2F%28x%5E2-4%29-3x%2F%284x%282-x%29%29 simplifies to %287%29%2F%284x%2B8%29


In other words, %28x-5%29%2F%28x%5E2-4%29-3x%2F%284x%282-x%29%29=%287%29%2F%284x%2B8%29 where x%3C%3E-2, x%3C%3E0, or x%3C%3E2