Your Result:
YOUR ANSWER
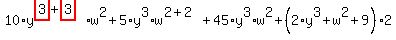
- Graphical form:
simplifies to  - Text form: (5y^3w^2+2)*(2y^3+w^2+3^2) simplifies to 10*y^(6)*w^2+5*y^3*w^(4)+45*y^3*w^2+4*y^3+2*w^2+18
- Cartoon (animation) form:
For tutors: simplify_cartoon( (5y^3w^2+2)*(2y^3+w^2+3^2) )
- If you have a website, here's a link to this solution.
|
DETAILED EXPLANATION
Look at . Replace constants in factor: , with  It becomes .
Look at . Expanded term by using associative property on  It becomes .
Look at . Expanded term by using associative property on  It becomes .
Look at . Multiplied numerator integers It becomes .
Look at . Multiplied numerator integers It becomes .
Look at . Reduce similar several occurrences of to  It becomes .
Look at . Reduce similar several occurrences of to  It becomes .
Look at . Added fractions or integers together It becomes .
Look at . Added fractions or integers together It becomes .
Look at . Expanded term by using associative property on  It becomes .
Look at . Multiplied numerator integers It becomes .
Look at . Multiplied numerator integers It becomes . Result: 
Universal Simplifier and Solver
Done!
|