SOLUTION: Add. Simplify if possible. 7v/v^2-49 + v/v-7 (this is a fraction) Find the polynomial for the perimeter and for the area z+8 (top of square) z (side of square). Subt

Algebra ->  Polynomials-and-rational-expressions -> SOLUTION: Add. Simplify if possible. 7v/v^2-49 + v/v-7 (this is a fraction) Find the polynomial for the perimeter and for the area z+8 (top of square) z (side of square). Subt      Log On


   



Question 170193: Add. Simplify if possible. 7v/v^2-49 + v/v-7 (this is a fraction)


Find the polynomial for the perimeter and for the area z+8 (top of square) z (side of square).


Subtract by simiplifying collecting like radical terms if possible 4 square root sign 80 - 6 square root sign 5.


If the sides of a square are lengthened by 7cm, the area becomes 196cm^2.
Find the length of a side of the oringinal square.


Please help I have to submit by tomorrow.
Thank you in advance

Answer by jim_thompson5910(35256) About Me  (Show Source):
You can put this solution on YOUR website!
# 1


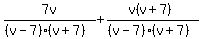
7v%2F%28v%5E2-49%29+%2B+v%2F%28v-7%29 Start with the given equation


7v%2F%28%28v-7%29%28v%2B7%29%29+%2B+v%2F%28v-7%29 Factor the first denominator


Take note that the LCD is %28v-7%29%28v%2B7%29


7v%2F%28%28v-7%29%28v%2B7%29%29+%2B+%28v%28v%2B7%29%29%2F%28%28v-7%29%28v%2B7%29%29 Multiply the second fraction by %28v%2B7%29%2F%28v%2B7%29 to make the denominators equal.


7v%2F%28%28v-7%29%28v%2B7%29%29+%2B+%28v%5E2%2B7v%29%2F%28%28v-7%29%28v%2B7%29%29 Distribute


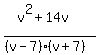
%287v%2Bv%5E2%2B7v%29%2F%28%28v-7%29%28v%2B7%29%29 Combine the fractions.


%28v%5E2%2B14v%29%2F%28%28v-7%29%28v%2B7%29%29 Combine like terms.


%28v%5E2%2B14v%29%2F%28v%5E2-49%29 FOIL the denominator.


So 7v%2F%28v%5E2-49%29+%2B+v%2F%28v-7%29 simplifies to %28v%5E2%2B14v%29%2F%28v%5E2-49%29






# 2


Area: A=Length%2AWidth=z%28z%2B8%29=z%5E2%2B8z


So the area is A=z%5E2%2B8z square units


Perimeter: P=2%2Alength%2B2%2Awidth=2%28z%29%2B2%28z%2B8%29=2z%2B2z%2B16=4z%2B16


So the perimeter is P=4z%2B16 units






# 3


sqrt%2880%29-6%2Asqrt%285%29 Start with the given expression


4%2Asqrt%285%29-6%2Asqrt%285%29 Simplify sqrt%2880%29 to get 4%2Asqrt%285%29. Note: If you need help with simplifying square roots, check out this solver.


Since we have the common term sqrt%285%29, we can combine like terms


%284-6%29sqrt%285%29 Combine like terms. Remember, 5x%2B3x-4x=%285%2B3-4%29x=4x


-2%2Asqrt%285%29 Now simplify 4-6 to get -2


So sqrt%2880%29-6%2Asqrt%285%29 simplifies to -2%2Asqrt%285%29.


In other words, sqrt%2880%29-6%2Asqrt%285%29=-2%2Asqrt%285%29






# 4


Area of original square A%5B1%5D=s%5E2


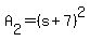
Area of new square: A%5B2%5D=%28s%2B7%29%5E2


Since the "area becomes 196cm^2", this means that A%5B2%5D=196


A%5B2%5D=%28s%2B7%29%5E2 Start with the second equation


196=%28s%2B7%29%5E2 Plug in A%5B2%5D=196


196=s%5E2%2B14s%2B49 FOIL


0=s%5E2%2B14s%2B49-196 Subtract 196 from both sides.


0=s%5E2%2B14s-147 Combine like terms.


Notice we have a quadratic equation in the form of as%5E2%2Bbs%2Bc where a=1, b=14, and c=-147


Let's use the quadratic formula to solve for s


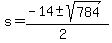
s+=+%28-b+%2B-+sqrt%28+b%5E2-4ac+%29%29%2F%282a%29 Start with the quadratic formula


s+=+%28-%2814%29+%2B-+sqrt%28+%2814%29%5E2-4%281%29%28-147%29+%29%29%2F%282%281%29%29 Plug in a=1, b=14, and c=-147


s+=+%28-14+%2B-+sqrt%28+196-4%281%29%28-147%29+%29%29%2F%282%281%29%29 Square 14 to get 196.


s+=+%28-14+%2B-+sqrt%28+196--588+%29%29%2F%282%281%29%29 Multiply 4%281%29%28-147%29 to get -588


s+=+%28-14+%2B-+sqrt%28+196%2B588+%29%29%2F%282%281%29%29 Rewrite sqrt%28196--588%29 as sqrt%28196%2B588%29


s+=+%28-14+%2B-+sqrt%28+784+%29%29%2F%282%281%29%29 Add 196 to 588 to get 784


s+=+%28-14+%2B-+sqrt%28+784+%29%29%2F%282%29 Multiply 2 and 1 to get 2.


s+=+%28-14+%2B-+28%29%2F%282%29 Take the square root of 784 to get 28.


s+=+%28-14+%2B+28%29%2F%282%29 or s+=+%28-14+-+28%29%2F%282%29 Break up the expression.


s+=+%2814%29%2F%282%29 or s+=++%28-42%29%2F%282%29 Combine like terms.


s+=+7 or s+=+-21 Simplify.


So the possible answers are s+=+7 or s+=+-21


However, since a negative side length is NOT possible, this means that the only answer is s+=+7


====================================================================

Answer:

So the original side length is 7 centimeters