SOLUTION: reduce 5x-x^2/x^2-10x+25
Algebra
->
Polynomials-and-rational-expressions
-> SOLUTION: reduce 5x-x^2/x^2-10x+25
Log On
Algebra: Polynomials, rational expressions and equations
Section
Solvers
Solvers
Lessons
Lessons
Answers archive
Answers
Click here to see ALL problems on Polynomials-and-rational-expressions
Question 170076
:
reduce
5x-x^2/x^2-10x+25
Answer by
nerdybill(7384)
(
Show Source
):
You can
put this solution on YOUR website!
Factoring numerator and denominator:
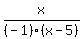
Factor out a -1 from the denominator:
Now, we can cancel like-terms:
Distributing the -1: