SOLUTION: the sum 2/x+1 + 7/x+2 can be expressed in the form ax+b/(x+1)(x+2). what are the values for a and b?

Algebra ->  Polynomials-and-rational-expressions -> SOLUTION: the sum 2/x+1 + 7/x+2 can be expressed in the form ax+b/(x+1)(x+2). what are the values for a and b?      Log On


   



Question 169958: the sum 2/x+1 + 7/x+2 can be expressed in the form ax+b/(x+1)(x+2). what are the values for a and b?
Answer by Edwin McCravy(20059) About Me  (Show Source):
You can put this solution on YOUR website!
the sum 2/x+1 + 7/x+2 can be expressed in the form ax+b/(x+1)(x+2). what are the values for a and b?

There are two ways to do this:

First way, by substitution of x=0 and x=1.

2%2F%28x%2B1%29+%2B+7%2F%28x%2B2%29+=+%28ax%2Bb%29%2F%28x%2B1%29%28x%2B2%29

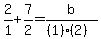
Substitute x=0:

2%2F%28x%2B1%29+%2B+7%2F%28x%2B2%29+=+%28ax%2Bb%29%2F%28%28x%2B1%29%28x%2B2%29%29

2%2F%280%2B1%29+%2B+7%2F%280%2B2%29+=+%28a%2A0%2Bb%29%2F%28%280%2B1%29%280%2B2%29%29

2%2F1+%2B+7%2F2+=+b%2F%28%281%29%282%29%29
2+%2B+7%2F2+=+b%2F2
Multiply through by 2
4+%2B+7+=+b
11=b

Substitute ll for b:

2%2F%28x%2B1%29+%2B+7%2F%28x%2B2%29+=+%28ax%2B11%29%2F%28x%2B1%29%28x%2B2%29

Substitute x=1:

2%2F%28x%2B1%29+%2B+7%2F%28x%2B2%29+=+%28ax%2B11%29%2F%28%28x%2B1%29%28x%2B2%29%29

2%2F%281%2B1%29+%2B+7%2F%281%2B2%29+=+%28a%2A1%2B11%29%2F%28%281%2B1%29%281%2B2%29%29

2%2F2+%2B+7%2F3+=+%28a%2B11%29%2F%28%282%29%283%29%29
1+%2B+7%2F3+=+%28a%2B11%29%2F6
Multiply through by 6
6+%2B+14+=+a%2B11
20=a%2B11
9=a

So a=9 and b=11

---------------------

Second way:

2%2F%28x%2B1%29+%2B+7%2F%28x%2B2%29

Get LCD=(x+1)(x+2)

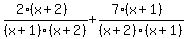
%282%28x%2B2%29%29%2F%28x%2B1%29%28x%2B2%29+%2B+%287%28x%2B1%29%29%2F%28x%2B2%29%28x%2B1%29

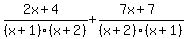
%282x%2B4%29%2F%28x%2B1%29%28x%2B2%29+%2B+%287x%2B7%29%2F%28x%2B2%29%28x%2B1%29

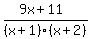
%282x%2B4%2B7x%2B7%29%2F%28x%2B1%29%28x%2B2%29

%289x%2B11%29%2F%28x%2B1%29%28x%2B2%29

Compare that with

%28ax%2Bb%29%2F%28x%2B1%29%28x%2B2%29

and obviously a=9 and b=11

Edwin