SOLUTION: Divide and, if possible, simplify z^2 + 8z + 16/z^2 + 13z + 36 divided by z^2 + 4z/z^2 + 15z + 54

Algebra ->  Polynomials-and-rational-expressions -> SOLUTION: Divide and, if possible, simplify z^2 + 8z + 16/z^2 + 13z + 36 divided by z^2 + 4z/z^2 + 15z + 54      Log On


   



Question 169942This question is from textbook Introductory Algebra
: Divide and, if possible, simplify
z^2 + 8z + 16/z^2 + 13z + 36 divided by z^2 + 4z/z^2 + 15z + 54
This question is from textbook Introductory Algebra

Answer by jim_thompson5910(35256) About Me  (Show Source):
You can put this solution on YOUR website!

Start with the given expression.


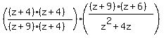
Multiply the first fraction %28z%5E2%2B8z%2B16%29%2F%28z%5E2%2B13z%2B36%29 by the reciprocal of the second fraction %28z%5E2%2B4z%29%2F%28z%5E2%2B15z%2B54%29.


Factor z%5E2%2B8z%2B16 to get %28z%2B4%29%28z%2B4%29.


Factor z%5E2%2B13z%2B36 to get %28z%2B9%29%28z%2B4%29.

Factor z%5E2%2B15z%2B54 to get %28z%2B9%29%28z%2B6%29.


Factor z%5E2%2B4z to get z%28z%2B4%29.


Combine the fractions.


Highlight the common terms.

Cancel out the common terms.


%28z%2B6%29%2F%28z%29 Simplify.


So simplifies to %28z%2B6%29%2F%28z%29.


In other words, where z%3C%3E-9, z%3C%3E-6, z%3C%3E-4, or z%3C%3E0.