SOLUTION: Take any number (except for 1). Square that number and then subtract one. Divide by one less than your original number. Now subtract your original number. Did you reached 1 for an

Algebra ->  Polynomials-and-rational-expressions -> SOLUTION: Take any number (except for 1). Square that number and then subtract one. Divide by one less than your original number. Now subtract your original number. Did you reached 1 for an       Log On


   



Question 168129: Take any number (except for 1). Square that number and then subtract one. Divide by one less than your original number. Now subtract your original number. Did you reached 1 for an answer? You should have.
I chose 9 and yes I did have an ending answer of 1. The rest of this is what I need help with.
How does this number game work? (Hint: Redo the number game using a variable instead of an actual number and rewrite the problem as one rational expression). How did the number game use the skill of simplifying rational expressions? Create your own number game using the rules of algebra and post.

Answer by Mathtut(3670) About Me  (Show Source):
You can put this solution on YOUR website!
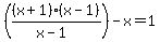
%28%28x%5E2-1%29%2F%28x-1%29%29-x=1 factor x%5E2-1
%28%28x%2B1%29%28x-1%29%2F%28x-1%29%29-x=1
as you can see the x-1 terms are eliminated so your left with
%28x%2B1%29-x=1 which is 1=1.... and going through this process you can see why 1 wouldnt work.
now come up with your own equation