SOLUTION: 3x2-4x-15/x2-4x+3

Algebra ->  Polynomials-and-rational-expressions -> SOLUTION: 3x2-4x-15/x2-4x+3      Log On


   



Question 167741: 3x2-4x-15/x2-4x+3
Answer by jim_thompson5910(35256) About Me  (Show Source):
You can put this solution on YOUR website!

%283x%5E2-4x-15%29%2F%28x%5E2-4x%2B3%29 Start with the given expression.


%28%283x%2B5%29%28x-3%29%29%2F%28x%5E2-4x%2B3%29 Factor 3x%5E2-4x-15 to get %283x%2B5%29%28x-3%29.


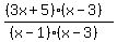
%28%283x%2B5%29%28x-3%29%29%2F%28%28x-1%29%28x-3%29%29 Factor x%5E2-4x%2B3 to get %28x-1%29%28x-3%29.


%28%283x%2B5%29highlight%28%28x-3%29%29%29%2F%28%28x-1%29highlight%28%28x-3%29%29%29 Highlight the common terms.


%28%283x%2B5%29cross%28%28x-3%29%29%29%2F%28%28x-1%29cross%28%28x-3%29%29%29 Cancel out the common terms.


%283x%2B5%29%2F%28x-1%29 Simplify.


So %283x%5E2-4x-15%29%2F%28x%5E2-4x%2B3%29 simplifies to %283x%2B5%29%2F%28x-1%29.


In other words, %283x%5E2-4x-15%29%2F%28x%5E2-4x%2B3%29=%283x%2B5%29%2F%28x-1%29 where x%3C%3E1 or x%3C%3E3