SOLUTION: hi, If 3x^2-2x+7=0, then (x-1/3)^2= Thankyou

Algebra ->  Polynomials-and-rational-expressions -> SOLUTION: hi, If 3x^2-2x+7=0, then (x-1/3)^2= Thankyou      Log On


   



Question 165592: hi, If 3x^2-2x+7=0, then (x-1/3)^2=
Thankyou

Answer by jim_thompson5910(35256) About Me  (Show Source):
You can put this solution on YOUR website!
3x%5E2-2x%2B7 Start with the given expression.


3%28x%5E2-%282%2F3%29x%2B7%2F3%29 Factor out the x%5E2 coefficient 3. This step is very important: the x%5E2 coefficient must be equal to 1.


Take half of the x coefficient -2%2F3 to get -1%2F3. In other words, %281%2F2%29%28-2%2F3%29=-1%2F3.


Now square -1%2F3 to get 1%2F9. In other words, %28-1%2F3%29%5E2=%28-1%2F3%29%28-1%2F3%29=1%2F9


3%28x%5E2-%282%2F3%29x%2Bhighlight%281%2F9-1%2F9%29%2B7%2F3%29 Now add and subtract 1%2F9 inside the parenthesis. Make sure to place this after the "x" term. Notice how 1%2F9-1%2F9=0. So the expression is not changed.


3%28%28x%5E2-%282%2F3%29x%2B1%2F9%29-1%2F9%2B7%2F3%29 Group the first three terms.


3%28%28x-1%2F3%29%5E2-1%2F9%2B7%2F3%29 Factor x%5E2-%282%2F3%29x%2B1%2F9 to get %28x-1%2F3%29%5E2.


3%28%28x-1%2F3%29%5E2%2B20%2F9%29 Combine like terms.


3%28x-1%2F3%29%5E2%2B3%2820%2F9%29 Distribute.


3%28x-1%2F3%29%5E2%2B20%2F3 Multiply.


So after completing the square, 3x%5E2-2x%2B7 transforms to 3%28x-1%2F3%29%5E2%2B20%2F3. So 3x%5E2-2x%2B7=3%28x-1%2F3%29%5E2%2B20%2F3.


So 3x%5E2-2x%2B7=0 is equivalent to 3%28x-1%2F3%29%5E2%2B20%2F3=0.

----------------------------------------------------

3%28x-1%2F3%29%5E2%2B20%2F3=0 Start with the given equation (this equation is the same as the original equation)


3%28x-1%2F3%29%5E2=-20%2F3 Subtract 20%2F3 from both sides.


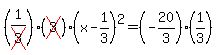
%281%2Fcross%283%29%29%28cross%283%29%29%28x-1%2F3%29%5E2=%28-20%2F3%29%281%2F3%29 Multiply both sides by 1%2F3



%28x-1%2F3%29%5E2=-20%2F9 Multiply



======================================

Answer:

So the answer is %28x-1%2F3%29%5E2=-20%2F9