SOLUTION: 7.) Solve by completing the square. 2x^2+x-6=0 the answer shows -2,3/2 I am not sure how they got the answer?

Algebra ->  Polynomials-and-rational-expressions -> SOLUTION: 7.) Solve by completing the square. 2x^2+x-6=0 the answer shows -2,3/2 I am not sure how they got the answer?      Log On


   



Question 165265: 7.) Solve by completing the square.
2x^2+x-6=0
the answer shows -2,3/2 I am not sure how they got the answer?

Answer by jim_thompson5910(35256) About Me  (Show Source):
You can put this solution on YOUR website!

2x%5E2%2Bx-6 Start with the given expression.


2%28x%5E2%2B%281%2F2%29x-3%29 Factor out the x%5E2 coefficient 2. This step is very important: the x%5E2 coefficient MUST be equal to 1.


Take half of the x coefficient 1%2F2 to get 1%2F4. In other words, %281%2F2%29%281%2F2%29=1%2F4.


Now square 1%2F4 to get 1%2F16. In other words, %281%2F4%29%5E2=%281%2F4%29%281%2F4%29=1%2F16


2%28x%5E2%2B%281%2F2%29x%2Bhighlight%281%2F16-1%2F16%29-3%29 Now add and subtract 1%2F16 inside the parenthesis. Make sure to place this after the "x" term. Notice how 1%2F16-1%2F16=0. So the expression is not changed.


2%28%28x%5E2%2B%281%2F2%29x%2B1%2F16%29-1%2F16-3%29 Group the first three terms.


2%28%28x%2B1%2F4%29%5E2-1%2F16-3%29 Factor x%5E2%2B%281%2F2%29x%2B1%2F16 to get %28x%2B1%2F4%29%5E2.


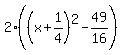
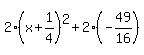
2%28%28x%2B1%2F4%29%5E2-49%2F16%29 Combine like terms.


2%28x%2B1%2F4%29%5E2%2B2%28-49%2F16%29 Distribute.


2%28x%2B1%2F4%29%5E2-49%2F8 Multiply.


So after completing the square, 2x%5E2%2Bx-6 transforms to 2%28x%2B1%2F4%29%5E2-49%2F8. So 2x%5E2%2Bx-6=2%28x%2B1%2F4%29%5E2-49%2F8.


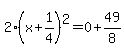
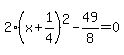
So 2x%5E2%2Bx-6=0 is equivalent to 2%28x%2B1%2F4%29%5E2-49%2F8=0.


2%28x%2B1%2F4%29%5E2=0%2B49%2F8Add 49%2F8 to both sides.


2%28x%2B1%2F4%29%5E2=49%2F8 Combine like terms.


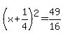
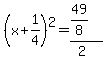
%28x%2B1%2F4%29%5E2=%2849%2F8%29%2F%282%29 Divide both sides by 2.


%28x%2B1%2F4%29%5E2=49%2F16 Reduce.


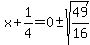
x%2B1%2F4=0%2B-sqrt%2849%2F16%29 Take the square root of both sides.


x%2B1%2F4=sqrt%2849%2F16%29 or x%2B1%2F4=-sqrt%2849%2F16%29 Break up the "plus/minus" to form two equations.


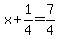
x%2B1%2F4=7%2F4 or x%2B1%2F4=-7%2F4 Take the square root of 49%2F16 to get 7%2F4.


x=-1%2F4%2B7%2F4 or x=-1%2F4-7%2F4 Subtract 1%2F4 from both sides.


x=3%2F2 or x=-2 Combine like terms.


--------------------------------------


Answer:


So the solutions are x=3%2F2 or x=-2.


Note: the order of the solutions does NOT matter.