SOLUTION: I am sorry that i do not have a isbn because i am taking this class online would you still help me with the following problem, I would apprecitate it! Directions say: add and

Algebra ->  Polynomials-and-rational-expressions -> SOLUTION: I am sorry that i do not have a isbn because i am taking this class online would you still help me with the following problem, I would apprecitate it! Directions say: add and      Log On


   



Question 163963: I am sorry that i do not have a isbn because i am taking this class online
would you still help me with the following problem, I would apprecitate it!
Directions say: add and than simplify the rational expressions:
7x over x + 6 plus 3 over x - 6

Answer by jim_thompson5910(35256) About Me  (Show Source):
You can put this solution on YOUR website!
In order to add the fractions, we need to get the denominators equal to one another. So we need to get them equal to the LCD %28x%2B6%29%28x-6%29

%287x%29%2F%28x%2B6%29%2B3%2F%28x-6%29 Start with the given expression


%287x%28x-6%29%29%2F%28%28x%2B6%29%28x-6%29%29%2B3%2F%28x-6%29 Multiply both the numerator and denominator of the first fraction by x-6


Multiply both the numerator and denominator of the second fraction by x%2B6


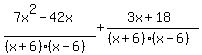
%287x%5E2-42x%29%2F%28%28x%2B6%29%28x-6%29%29%2B%283x%2B18%29%2F%28%28x%2B6%29%28x-6%29%29 Distribute


%287x%5E2-42x%2B3x%2B18%29%2F%28%28x%2B6%29%28x-6%29%29 Add the fractions


%287x%5E2-39x%2B18%29%2F%28%28x%2B6%29%28x-6%29%29 Combine like terms


So %287x%29%2F%28x%2B6%29%2B3%2F%28x-6%29 simplifies to %287x%5E2-39x%2B18%29%2F%28%28x%2B6%29%28x-6%29%29