SOLUTION: would someone have time to help me with this problem? the directions are as follows: subtract, write answer in lowest terms: _____9x__-__5_

Algebra ->  Polynomials-and-rational-expressions -> SOLUTION: would someone have time to help me with this problem? the directions are as follows: subtract, write answer in lowest terms: _____9x__-__5_       Log On


   



Question 163960: would someone have time to help me with this problem?
the directions are as follows: subtract, write answer in lowest terms:
_____9x__-__5_
x2-49 7-x
in words it would be 9x over x2-49 minus 5 over 7-x
thank you

Answer by ankor@dixie-net.com(22740) About Me  (Show Source):
You can put this solution on YOUR website!
subtract, write answer in lowest terms:
in words it would be 9x over x2-49 minus 5 over 7-x
:
%289x%29%2F%28%28x%5E2-49%29%29 - 5%2F%28%287-x%29%29
:
Note that (x^2-49) is the "difference of squares, factor:
Change the signs in (7-x) multiply by -1
%289x%29%2F%28%28x-7%29%28x%2B7%29%29 - 5%2F%28-1%28x-7%29%29
Which is:
%289x%29%2F%28%28x-7%29%28x%2B7%29%29 + 5%2F%28%28x-7%29%29
:
The common denominator
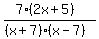
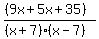
%289x+%2B+5%28x%2B7%29%29%2F%28%28x%2B7%29%28x-7%29%29%29 = %28%289x+%2B+5x+%2B+35%29%29%2F%28%28x%2B7%29%28x-7%29%29%29 = %2814x+%2B+35%29%2F%28%28x%2B7%29%28x-7%29%29%29 = %287%282x+%2B+5%29%29%2F%28%28x%2B7%29%28x-7%29%29%29