SOLUTION: a man buys 5 DVDs for $66.34,including 7% sales tax. how much did each DVD cost??
Algebra
->
Polynomials-and-rational-expressions
-> SOLUTION: a man buys 5 DVDs for $66.34,including 7% sales tax. how much did each DVD cost??
Log On
Algebra: Polynomials, rational expressions and equations
Section
Solvers
Solvers
Lessons
Lessons
Answers archive
Answers
Click here to see ALL problems on Polynomials-and-rational-expressions
Question 160943
:
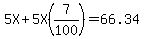
a man buys 5 DVDs for $66.34,including 7% sales tax. how much did each DVD cost??
Answer by
Fombitz(32388)
(
Show Source
):
You can
put this solution on YOUR website!
Let's call the price per DVD X.
Price+Tax=Total
Each DVD cost $12.40.