SOLUTION: 1/x+1 + 2x/x^2-2x+1 can be simplified to what?

Algebra ->  Polynomials-and-rational-expressions -> SOLUTION: 1/x+1 + 2x/x^2-2x+1 can be simplified to what?      Log On


   



Question 159532: 1/x+1 + 2x/x^2-2x+1 can be simplified to what?
Answer by ankor@dixie-net.com(22740) About Me  (Show Source):
You can put this solution on YOUR website!
1/x+1 + 2x/x^2-2x+1 can be simplified to what?
:
1%2F%28%28x%2B1%29%29 + %282x%29%2F%28%28x%5E2-2x%2B1%29%29
Factoring won't help much here:
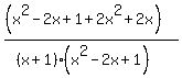
The common denominator: (x+1)(x^2-2x+1); so you have:
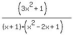
%28%28x%5E2-2x%2B1%29+%2B+2x%28x%2B1%29%29%2F%28%28x%2B1%29%28x%5E2-2x%2B1%29%29 = %28%28x%5E2+-+2x+%2B+1+%2B+2x%5E2+%2B+2x%29%29%2F%28%28x%2B1%29%28x%5E2-2x%2B1%29%29 = %28%283x%5E2+%2B+1%29%29%2F%28%28x%2B1%29%28x%5E2-2x%2B1%29%29
or
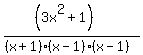
%28%283x%5E2+%2B+1%29%29%2F%28%28x%2B1%29%28x-1%29%28x-1%29%29
or
%28%283x%5E2+%2B+1%29%29%2F%28%28x%2B1%29%28x-1%29%5E2%29
:
Is that simpler? At least we end up with a single fraction.