SOLUTION: Simplify (1/x + 1/y)^2 i know its x^2 + 2 xy + y^2 but the fractions are throwing me
Algebra
->
Polynomials-and-rational-expressions
-> SOLUTION: Simplify (1/x + 1/y)^2 i know its x^2 + 2 xy + y^2 but the fractions are throwing me
Log On
Algebra: Polynomials, rational expressions and equations
Section
Solvers
Solvers
Lessons
Lessons
Answers archive
Answers
Click here to see ALL problems on Polynomials-and-rational-expressions
Question 157045
:
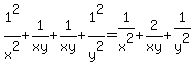
Simplify
(1/x + 1/y)^2
i know its x^2 + 2 xy + y^2 but the fractions are throwing me
Answer by
SAT Math Tutor(36)
(
Show Source
):
You can
put this solution on YOUR website!
When you have fractions, you square the numerator and denominator so here you get: