SOLUTION: How do you DIVIDE this rational expression:x^2+13x+12/x+2(divided by)x+1.

Algebra ->  Polynomials-and-rational-expressions -> SOLUTION: How do you DIVIDE this rational expression:x^2+13x+12/x+2(divided by)x+1.       Log On


   



Question 152484: How do you DIVIDE this rational expression:x^2+13x+12/x+2(divided by)x+1.
Answer by jim_thompson5910(35256) About Me  (Show Source):
You can put this solution on YOUR website!
%28%28x%5E2%2B13x%2B12%29%2F%28x%2B2%29%29%2F%28x%2B1%29 Start with the given expression.


%28%28x%5E2%2B13x%2B12%29%2F%28x%2B2%29%29%2F%28%28x%2B1%29%2F%281%29%29 Rewrite x%2B1 as %28x%2B1%29%2F%281%29


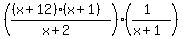
%28%28x%5E2%2B13x%2B12%29%2F%28x%2B2%29%29%28%281%29%2F%28x%2B1%29%29 Multiply the first fraction %28x%5E2%2B13x%2B12%29%2F%28x%2B2%29 by the reciprocal of the second fraction %28x%2B1%29%2F%281%29.


%28%28%28x%2B12%29%28x%2B1%29%29%2F%28x%2B2%29%29%28%281%29%2F%28x%2B1%29%29 Factor x%5E2%2B13x%2B12 to get %28x%2B12%29%28x%2B1%29.


%28%28x%2B12%29%28x%2B1%29%29%2F%28%28x%2B2%29%28x%2B1%29%29 Combine the fractions.


%28%28x%2B12%29highlight%28%28x%2B1%29%29%29%2F%28%28x%2B2%29highlight%28%28x%2B1%29%29%29 Highlight the common terms.


%28%28x%2B12%29cross%28%28x%2B1%29%29%29%2F%28%28x%2B2%29cross%28%28x%2B1%29%29%29 Cancel out the common terms.


%28x%2B12%29%2F%28x%2B2%29 Simplify.


So %28%28x%5E2%2B13x%2B12%29%2F%28x%2B2%29%29%2F%28x%2B1%29 simplifies to %28x%2B12%29%2F%28x%2B2%29.


In other words, %28%28x%5E2%2B13x%2B12%29%2F%28x%2B2%29%29%2F%28x%2B1%29=%28x%2B12%29%2F%28x%2B2%29 where x%3C%3E-1 or x%3C%3E-2