SOLUTION: I am not quite sure the name of this kind of problem because I am still new at this, but if someone could help me I would really appreciate it. This is the problem. It states:

Algebra ->  Polynomials-and-rational-expressions -> SOLUTION: I am not quite sure the name of this kind of problem because I am still new at this, but if someone could help me I would really appreciate it. This is the problem. It states:       Log On


   



Question 150221: I am not quite sure the name of this kind of problem because I am still new at this, but if someone could help me I would really appreciate it. This is the problem. It states:
Multiply (7x+4)(7x^2+5x+4)
I get confused when it comes down to the steps and I would really appreciate the help. Thank you so much.

Answer by Fombitz(32388) About Me  (Show Source):
You can put this solution on YOUR website!
(7x+4)(7x^2+5x+4)
Remember to use the distributive property.
To make it simpler, use a substitution.
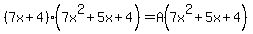
Let A=7x+4.
%287x%2B4%29%287x%5E2%2B5x%2B4%29=A%287x%5E2%2B5x%2B4%29
%287x%2B4%29%287x%5E2%2B5x%2B4%29=A7x%5E2%2BA5x%2BA4
That's pretty straight forward.
Now substitute the original value.
%287x%2B4%29%287x%5E2%2B5x%2B4%29=A7x%5E2%2BA5x%2BA4
%287x%2B4%29%287x%5E2%2B5x%2B4%29=%287x%2B4%297x%5E2%2B%287x%2B4%295x%2B%287x%2B4%294
Take each term and use the distributive property,
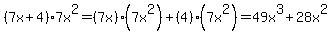
%287x%2B4%297x%5E2=%287x%29%287x%5E2%29%2B%284%29%2A%287x%5E2%29=49x%5E3%2B28x%5E2
%287x%2B4%295x=%287x%29%285x%29%2B%284%29%285x%29=35x%5E2%2B20x
%287x%2B4%294=28x%2B16
Now put all the parts together,
%287x%2B4%29%287x%5E2%2B5x%2B4%29=%287x%2B4%297x%5E2%2B%287x%2B4%295x%2B4%287x%2B4%29

Combine all like terms
%287x%2B4%29%287x%5E2%2B5x%2B4%29=+49x%5E3%2B%2828%2B35%29x%5E2%2B+%2820%2B28%29x%2B16%29
%287x%2B4%29%287x%5E2%2B5x%2B4%29=+highlight%2849x%5E3%2B63x%5E2%2B48x%2B16%29%29