SOLUTION: Can any help me with this problem? I am supposed to use synthetic division to find the quotient and the remainder. (x^5+32) divided by (x+2) Thank you!

Algebra ->  Polynomials-and-rational-expressions -> SOLUTION: Can any help me with this problem? I am supposed to use synthetic division to find the quotient and the remainder. (x^5+32) divided by (x+2) Thank you!      Log On


   



Question 149665This question is from textbook
: Can any help me with this problem? I am supposed to use synthetic division to find the quotient and the remainder.
(x^5+32) divided by (x+2)
Thank you!
This question is from textbook

Answer by Fombitz(32388) About Me  (Show Source):
You can put this solution on YOUR website!
OK, bear with me because the software's a little cumbersome to show synthetic division.
Hopefully it's clear and straightforward.
First I'll show the multiplication of the term with the divisor.
Then the subtraction of the equation and the multiplication term.
Then carry that sum down to the next multiplication.
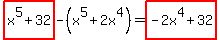
Let's start with x%5E4 as the first term of the quotient,
x%5E4%28x%2B2%29=x%5E5%2B2x%5E4
highlight%28x%5E5%2B32%29-%28x%5E5%2B2x%5E4%29=highlight%28+-2x%5E4%2B32%29
Next term is -2x%5E3,
-2x%5E3%28x%2B2%29=-2x%5E4-4x%5E3
highlight%28-2x%5E4%2B32%29-%28-2x%5E4-4x%5E3%29=highlight%284x%5E3%2B32%29
Next term is 4x%5E2,
4x%5E2%28x%2B2%29=4x%5E3%2B8x%5E2
highlight%284x%5E3%2B32%29-%284x%5E3%2B8x%5E2%29=highlight%28-8x%5E2%2B32%29
Next term is -8x,
-8x%28x%2B2%29=-8x%5E2-16x
highlight%28-8x%5E2%2B32%29-%28-8x%5E2-16x%29=highlight%2816x%2B32%29
Final term of the quotient is 16,
16%28x%2B2%29=16x%2B32
highlight%2816x%2B32%29-%2816x%2B32%29=0
The remainder is 0.
The quotient is
x%5E4-2x%5E3%2B4x%5E2-8x%2B16
%28x%5E5%2B32%29%2F%28x%2B2%29=x%5E4-2x%5E3%2B4x%5E2-8x%2B16