SOLUTION: Solve 1/x+1/6=1/4

Algebra ->  Polynomials-and-rational-expressions -> SOLUTION: Solve 1/x+1/6=1/4      Log On


   



Question 149599: Solve 1/x+1/6=1/4
Answer by jim_thompson5910(35256) About Me  (Show Source):
You can put this solution on YOUR website!

1%2Fx%2B1%2F6=1%2F4 Start with the given equation.



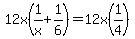
12x%281%2Fx%2B1%2F6%29=12x%281%2F4%29 Multiply both sides by the LCD 12x. Doing so will eliminate the fractions.



12x%281%2Fcross%28x%29%29%2B12x%281%2Fcross%286%29%29=12x%281%2Fcross%284%29%29 Distribute. Notice how the denominators cancel out.


12%2B2x=3x Simplify.


12%2Bcross%282x-2x%29=3x-2x Subtract 2x from both sides.


12=3x-2x Simplify.


12=x Combine like terms.


So the answer is x=12