SOLUTION: Can someone help me solve this problem: {{{ (-3x^2+12)/(x^2-x-2) }}}

Algebra ->  Polynomials-and-rational-expressions -> SOLUTION: Can someone help me solve this problem: {{{ (-3x^2+12)/(x^2-x-2) }}}      Log On


   



Question 14893: Can someone help me solve this problem: +%28-3x%5E2%2B12%29%2F%28x%5E2-x-2%29+
Answer by rapaljer(4671) About Me  (Show Source):
You can put this solution on YOUR website!
Congratulations on writing the fraction in algebra.com notation!

First step is to factor the numerator and denominator:
+%28-3x%5E2%2B12%29%2F%28x%5E2-x-2%29+
+%28-3%28x%5E2-4%29%29%2F%28x%5E2-x-2%29+
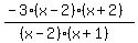
+%28-3%28x-2%29%2A%28x%2B2%29%29%2F%28%28x-2%29%28x%2B1%29%29+

Next, notice that the factors (x-2) divide out in the numerator and denominator, leaving:
+%28%28-3%29%2A%28x%2B2%29%29%2F%28x%2B1%29+


R^2 at SCC