SOLUTION: It says to factor the problem. The problem is 4x^2+7x-2, the answer I got was 62(2x^2+6^2-1) I got it wrond though. Please help me Thank You=)

Algebra ->  Polynomials-and-rational-expressions -> SOLUTION: It says to factor the problem. The problem is 4x^2+7x-2, the answer I got was 62(2x^2+6^2-1) I got it wrond though. Please help me Thank You=)      Log On


   



Question 147539This question is from textbook algebra
: It says to factor the problem. The problem is 4x^2+7x-2, the answer I got was 62(2x^2+6^2-1) I got it wrond though. Please help me Thank You=) This question is from textbook algebra

Answer by jim_thompson5910(35256) About Me  (Show Source):
You can put this solution on YOUR website!

Looking at 4x%5E2%2B7x-2 we can see that the first term is 4x%5E2 and the last term is -2 where the coefficients are 4 and -2 respectively.

Now multiply the first coefficient 4 and the last coefficient -2 to get -8. Now what two numbers multiply to -8 and add to the middle coefficient 7? Let's list all of the factors of -8:



Factors of -8:
1,2,4,8

-1,-2,-4,-8 ...List the negative factors as well. This will allow us to find all possible combinations

These factors pair up and multiply to -8
(1)*(-8)
(2)*(-4)
(-1)*(8)
(-2)*(4)

note: remember, the product of a negative and a positive number is a negative number


Now which of these pairs add to 7? Lets make a table of all of the pairs of factors we multiplied and see which two numbers add to 7

First NumberSecond NumberSum
1-81+(-8)=-7
2-42+(-4)=-2
-18-1+8=7
-24-2+4=2



From this list we can see that -1 and 8 add up to 7 and multiply to -8


Now looking at the expression 4x%5E2%2B7x-2, replace 7x with -1x%2B8x (notice -1x%2B8x adds up to 7x. So it is equivalent to 7x)

4x%5E2%2Bhighlight%28-1x%2B8x%29%2B-2


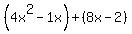
Now let's factor 4x%5E2-1x%2B8x-2 by grouping:


%284x%5E2-1x%29%2B%288x-2%29 Group like terms


x%284x-1%29%2B2%284x-1%29 Factor out the GCF of x out of the first group. Factor out the GCF of 2 out of the second group


%28x%2B2%29%284x-1%29 Since we have a common term of 4x-1, we can combine like terms

So 4x%5E2-1x%2B8x-2 factors to %28x%2B2%29%284x-1%29


So this also means that 4x%5E2%2B7x-2 factors to %28x%2B2%29%284x-1%29 (since 4x%5E2%2B7x-2 is equivalent to 4x%5E2-1x%2B8x-2)



------------------------------------------------------------



Answer:
So 4x%5E2%2B7x-2 factors to %28x%2B2%29%284x-1%29