SOLUTION: Factor the polynomial completely: (2x+3)^3 - 64

Algebra ->  Polynomials-and-rational-expressions -> SOLUTION: Factor the polynomial completely: (2x+3)^3 - 64       Log On


   



Question 144503: Factor the polynomial completely:
(2x+3)^3 - 64




Found 2 solutions by vleith, jim_thompson5910:
Answer by vleith(2983) About Me  (Show Source):
You can put this solution on YOUR website!
Recognize this a difference of two cubes (2x+3) and 4.
Read this --> http://www.purplemath.com/modules/specfact2.htm
Then solve accordingly

Answer by jim_thompson5910(35256) About Me  (Show Source):
You can put this solution on YOUR website!
%282x%2B3%29%5E3+-+64 Start with the given expression.


Let a=2x+3


So we now have a%5E3+-+64+


%28a%29%5E3-%284%29%5E3 Rewrite a%5E3 as %28a%29%5E3. Rewrite 64 as %284%29%5E3.


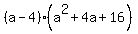
%28a-4%29%28%28a%29%5E2%2B%28a%29%284%29%2B%284%29%5E2%29 Now factor by using the difference of cubes formula. Remember the difference of cubes formula is A%5E3-B%5E3=%28A-B%29%28A%5E2%2BAB%2BB%5E2%29


%28a-4%29%28a%5E2%2B4a%2B16%29 Multiply



%282x%2B3-4%29%28%282x%2B3%29%5E2%2B4%282x%2B3%29%2B16%29 Now replace each "a" with 2x%2B3


%282x%2B3-4%29%284x%5E2%2B12x%2B9%2B4%282x%2B3%29%2B16%29 Foil


%282x%2B3-4%29%284x%5E2%2B12x%2B9%2B8x%2B12%2B16%29 Distribute


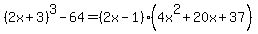
%282x-1%29%284x%5E2%2B20x%2B37%29 Combine like terms

-----------------------------------
Answer:
So %282x%2B3%29%5E3+-+64 factors to %282x-1%29%284x%5E2%2B20x%2B37%29.

In other words, %282x%2B3%29%5E3+-+64=%282x-1%29%284x%5E2%2B20x%2B37%29