SOLUTION: Take any number (except for 1). Square that number and then subtract one. Divide by one less than your original number. Now subtract your original number. You reached 1 for an answ

Algebra ->  Polynomials-and-rational-expressions -> SOLUTION: Take any number (except for 1). Square that number and then subtract one. Divide by one less than your original number. Now subtract your original number. You reached 1 for an answ      Log On


   



Question 139367: Take any number (except for 1). Square that number and then subtract one. Divide by one less than your original number. Now subtract your original number. You reached 1 for an answer, didn’t you? How does this number game work? (Hint: Redo the number game using a variable instead of an actual number and rewrite the problem as one rational expression). How did the number game use the skill of simplifying rational expressions? Create your own number game using the rules of algebra and post it for your classmates to solve. Be sure to think about values that may not work. State whether your number game uses the skill of simplifying rational expressions.
: Take any number (except for 1). Square that number and then subtract one. Divide by one less than your original number. Now subtract your original number. You reached 1 for an answer, didn’t you? How does this number game work? (Hint: Redo the number game using a variable instead of an actual number and rewrite the problem as one rational expression). How did the number game use the skill of simplifying rational expressions? Create your own number game using the rules of algebra and post it for your classmates to solve. Be sure to think about values that may not work. State whether your number game uses the skill of simplifying rational expressions.
Can someone please provide some examples of this, it is greatly appreciated!

Found 2 solutions by MathLover1, solver91311:
Answer by MathLover1(20850) About Me  (Show Source):
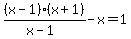
You can put this solution on YOUR website!
Take any number:+x
Square that number and then subtract one: x%5E2-1
Divide by one less than your original number:%28+x%5E2-1%29%2F%28x-1%29
Now subtract your original number: %28x%5E2-1%29%2F%28x-1%29-x
You reached 1 for an answer: %28x%5E2-1%29%2F%28x-1%29-x=1...rational expression where denominator %28x-1%29%3C%3E0...=> x%3C%3E1
Prove that left side of the equation is equal to the right side:
%28x%5E2-1%29%2Fx-1-x=1…….factor x%5E2-1
%28x-1+%29%28x%2B1%29%2F%28x-1%29-x=1……..simplify
cross%28%28x-1+%29%29%28x%2B1%29%2Fcross%28%28x-1%29%29-x=1
x%2B1-x=1

cross%28x%29%2B1-cross%28x%29=1
1+=+1

Answer by solver91311(24713) About Me  (Show Source):
You can put this solution on YOUR website!
Your number is x, where x%3C%3E1

Square the number: x%5E2

Subtract 1: x%5E2-1

Divide by 1 less than the original number: %28x%5E2-1%29%2F%28x-1%29

But x%5E2-1=%28x%2B1%29%28x-1%29 -- Difference of two squares

So %28x%5E2-1%29%2F%28x-1%29=%28%28x%2B1%29%28x-1%29%29%2F%28x-1%29=x%2B1

Subtract the original number: x%2B1-x=1

Super-Double-Plus-Extra Credit We are given that 1 is not allowed as a selection for the initial number. Why?