SOLUTION: Hi I have been trying to figure this out but it seems there are no examples in my book or anywhere. The equation is {{{1+1/x=56/x^2}}} also there is a factoring question that I t

Algebra ->  Polynomials-and-rational-expressions -> SOLUTION: Hi I have been trying to figure this out but it seems there are no examples in my book or anywhere. The equation is {{{1+1/x=56/x^2}}} also there is a factoring question that I t      Log On


   



Question 137516: Hi I have been trying to figure this out but it seems there are no examples in my book or anywhere. The equation is
1%2B1%2Fx=56%2Fx%5E2 also there is a factoring question that I think I did correctly but it doesn't seem right to me.
It says assume that the expressions given are the denominators of fractions find the LCD.
7a+14, a^2+2a
now I got all the way to 7(a+2) and a(a+2) now is the the LCD (a+2) but then what do I do with the 7 and a? Thanks so much

Answer by Earlsdon(6294) About Me  (Show Source):
You can put this solution on YOUR website!
1) Solve for x:
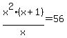
1%2B%281%2Fx%29+=+56%2Fx%5E2 Combine the terms on the left side.
%28x%2B1%29%2Fx+=+56%2Fx%5E2 Multiply both sides by x%5E2
x%5E2%28x%2B1%29%2Fx+=+56 Cancel an x on the left side.
x%28x%2B1%29+=+56 Perform the indicated multiplication on the left side.
x%5E2%2Bx+=+56 Subtract 56 from both sides.
x%5E2%2Bx-56+=+0 Factor this quadratic equation.
%28x-7%29%28x%2B8%29+=+0
x+=+7, x+=+-8
2) Find the LCD of:
%287a%2B14%29 and %28a%5E2%2B2a%29
You are to assume that these expressions are the denominators of fractions, so let's write them that way:
x%2F%28%287a%2B14%29%29, y%2F%28%28a%5E2%2B2a%29%29 Now we'll find the LCD. Factor the denominators, as you have done:
x%2F7%28a%2B2%29, y%2Fa%28a%2B2%29 Now you need to make a common denominator, so multiply the first one by a and the second one by 7.
ax%2F7a%28a%2B2%29, 7y%2F7a%28a%2B2%29 Now you can see that the LCD is:
7a%28a%2B2%29+=+7a%5E2%2B14a