SOLUTION: Take any number (except for 1). Square that number and then subtract one. Divide by one less than your original number. Now subtract your original number. You reached 1 for an answ

Algebra ->  Polynomials-and-rational-expressions -> SOLUTION: Take any number (except for 1). Square that number and then subtract one. Divide by one less than your original number. Now subtract your original number. You reached 1 for an answ      Log On


   



Question 132405: Take any number (except for 1). Square that number and then subtract one. Divide by one less than your original number. Now subtract your original number. You reached 1 for an answer, didn’t you? How does this number game work? (Hint: Redo the number game using a variable instead of an actual number and rewrite the problem as one rational expression). How did the number game use the skill of simplifying rational expressions? Create your own number game using the rules of algebra and post it for your classmates to solve. Be sure to think about values that may not work. State whether your number game uses the skill of simplifying rational expressions.

Answer by jim_thompson5910(35256) About Me  (Show Source):
You can put this solution on YOUR website!
Let x= unknown number


To find out what's going on, we have to translate this sentence into an algebraic expression:

First let's square the unknown number to get x%5E2

Now subtract 1 to get x%5E2-1

Divide the result by that number minus 1 (ie X-1) to get %28x%5E2-1%29%2F%28x-1%29


Now subtract the original number x to get %28x%5E2-1%29%2F%28x-1%29-x




So the sentence translates to %28x%5E2-1%29%2F%28x-1%29-x. Now let's simplify:



%28x%5E2-1%29%2F%28x-1%29-x Start with the given expression


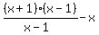
%28x%2B1%29%28x-1%29%2F%28x-1%29-x Factor x%5E2-1 into %28x%2B1%29%28x-1%29 by using the difference of squares



%28x%2B1%29cross%28%28x-1%29%29%2Fcross%28%28x-1%29%29-x Cancel like terms


x%2B1-x Simplify


x-x%2B1 Group like terms


1 Combine like terms


So %28x%5E2-1%29%2F%28x-1%29-x simplifies to 1. In other words, %28x%5E2-1%29%2F%28x-1%29-x=1 for any x but x%3C%3E1. Can you see why?



I'll let you come up with your own number game