SOLUTION: Okay, second time asking for help with this particular question. 2x+1/x^2-16 [+] x^2-6x-7/x^2-11x+28 I placed the + in [] just so you could tell the two fraction apart, it

Algebra ->  Polynomials-and-rational-expressions -> SOLUTION: Okay, second time asking for help with this particular question. 2x+1/x^2-16 [+] x^2-6x-7/x^2-11x+28 I placed the + in [] just so you could tell the two fraction apart, it       Log On


   



Question 132040: Okay, second time asking for help with this particular question.
2x+1/x^2-16 [+] x^2-6x-7/x^2-11x+28
I placed the + in [] just so you could tell the two fraction apart, it does not mean anything.

Found 3 solutions by stanbon, rapaljer, bucky:
Answer by stanbon(75887) About Me  (Show Source):
You can put this solution on YOUR website!
2x+1/x^2-16 [+] x^2-6x-7/x^2-11x+28
-------------------------------------
Factor where you can:
[(2x+1)/(x-4)(x+4)] + [(x-7)(x+1)/(x-4)(x-7)]
----------------------------
Least common denominator: (x-4)(x+4)(x-7)
--------------------------
Rewrite each fraction with the lcm as its denominator.
[(2x+1)(x-7)/lcm] + [(x-7)(x+1)(x+4)]/lcm
------------------------------
Simplify:
[2x^2-13x-7+(x-7)(x^2+5x+4)]/lcm
---------
[2x^2-13x-7+x^3+5x^2-7x^2+4x-35x-28]/lcm
[x^3-44x-35]/lcm
==================
Cheers,
Stan H.

Answer by rapaljer(4671) About Me  (Show Source):
You can put this solution on YOUR website!
%282x%2B1%29%2F%28x%5E2-16%29+%2B+%28x%5E2-6x-7%29%2F%28x%5E2-11x%2B28%29+


Reduce the second fraction, which simplifies the LCD:
%282x%2B1%29%2F%28%28x-4%29%28x%2B4%29%29+%2B+%28x%2B1%29%2F%28x-4%29+

The LCD = (x-4)(x+4)


%282x%2B1%2Bx%5E2%2B5x%2B4%29%2F%28%28x-4%29%28x%2B4%29%29+
%28x%5E2%2B7x%2B5%29%2F%28%28x-4%29%28x%2B4%29%29+

See my own website, click on my tutor name "rapaljer" anywhere in algebra.com. Go to the first link on my homepage which is "Basic and Intermediate Algebra: One Step at a Time". Look in Chapter 3 of Basic Algebra, for the Section 3.03 "Finding the LCD" and 3.04 "Adding and Subtracting Fractions."

R^2



Answer by bucky(2189) About Me  (Show Source):
You can put this solution on YOUR website!
Given:
.
%282x%2B1%29%2F%28x%5E2-16%29+%2B+%28x%5E2+-+6x+-+7%29%2F%28x%5E2+-+11x+%2B+28%29
.
Factor the denominators of both fractions and the numerator of the second fractions. They
factor as follows:
.
x%5E2+-+16+=+%28x+-4%29%2A%28x+%2B+4%29
x%5E2+-+11x+%2B+28+=+%28x+-+7%29%2A%28x+-+4%29
x%5E2+-+6x+-+7+=+%28x+-+7%29%2A%28x+%2B+1%29
.
Substitute these factors at the appropriate places in the original equation and you get:
.

.
Notice that in the second fraction the term (x -7) appears in both the numerator and the
denominator. Therefore, it can be canceled out as follows:
.

.
and the problem is then reduced to:
.
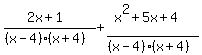
%282x+%2B+1%29%2F%28%28x-4%29%2A%28x%2B4%29%29+%2B+%28x%2B1%29%2F%28x-4%29
.
The second fraction can be put over a common denominator of %28x-4%29%2A%28x%2B4%29 by multiplying
it by %28x%2B4%29%2F%28x%2B4%29. Notice that since the numerator of this multiplier is the same as
the denominator, the multiplier is equivalent to 1 so it doesn't really change the second fraction.
The multiplication is as follows:
.

.
and this becomes:
.

.
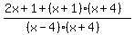
Notice now that the two fractions have the common denominator of %28x-4%29%2A%28x%2B4%29
so the numerators can be combined over this common denominator to get:
.
%282x+%2B+1%2B+%28x%2B1%29%2A%28x%2B4%29%29%2F%28%28x-4%29%2A%28x%2B4%29%29
.
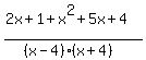
Simplify the numerator by multiplying out the two factors to make the expression become:
.
%282x+%2B+1%2B+x%5E2+%2B+5x+%2B+4%29%2F%28%28x-4%29%2A%28x%2B4%29%29
.
In the numerator combine the 2x and the 5x to get +7x and combine the 1 and the 4 to get +5.
Substitute these results and you get the answer of:
.
%28x%5E2%2B7x+%2B+5%29%2F%28%28x-4%29%2A%28x%2B4%29%29
.
This is the answer. The numerator does not factor.
.
Or you can, if you so desire, multiply out the denominator to get the answer of:
.
%28x%5E2%2B7x+%2B+5%29%2F%28x%5E2+-+16%29
.
Hope this helps you to see your way through the problem.
.