SOLUTION: How would you write this rational expression in lowest terms? a^2-9/18-2a^2
Algebra
->
Polynomials-and-rational-expressions
-> SOLUTION: How would you write this rational expression in lowest terms? a^2-9/18-2a^2
Log On
Algebra: Polynomials, rational expressions and equations
Section
Solvers
Solvers
Lessons
Lessons
Answers archive
Answers
Click here to see ALL problems on Polynomials-and-rational-expressions
Question 126295
:
How would you write this rational expression in lowest terms?
a^2-9/18-2a^2
Answer by
solver91311(24713)
(
Show Source
):
You can
put this solution on YOUR website!
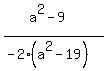
Start with the fact that
and re-write the denominator:
Now factor a 2 out of the denominator:
so you are left with: