



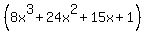
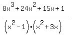
If A,B,C,D are the only values that make the above true for all allowable values,
then they are also the only values that will make the equation below true as
well. It is formed by clearing of fractions, and we notice that x can take on
values in this which would cause the equation above to be undefined. In fact,
those are the very values we are going to substitute for x.


We substitute x= -3 and only the second term on the right is not 0.










----------------------


We substitute x= 0 and only the third term on the right is not 0.








----------------------


We substitute x= 1 and only the first term on the right is not 0.








----------------------


We substitute x=-1 and only the last term on the right is not 0.







So the answer is:


Edwin