SOLUTION: Find the sum of a, b, c, and d if (x^3 - 2x^2 + 3x + 5)/(x + 2) = ax^2 + bx + c + [d/(x + 2)]
Algebra
->
Polynomials-and-rational-expressions
-> SOLUTION: Find the sum of a, b, c, and d if (x^3 - 2x^2 + 3x + 5)/(x + 2) = ax^2 + bx + c + [d/(x + 2)]
Log On
Algebra: Polynomials, rational expressions and equations
Section
Solvers
Solvers
Lessons
Lessons
Answers archive
Answers
Click here to see ALL problems on Polynomials-and-rational-expressions
Question 1208427
:
Find the sum of a, b, c, and d if
(x^3 - 2x^2 + 3x + 5)/(x + 2) = ax^2 + bx + c + [d/(x + 2)]
Found 2 solutions by
josgarithmetic, timofer
:
Answer by
josgarithmetic(39618)
(
Show Source
):
You can
put this solution on YOUR website!
Not filling in everything but to perform the synthetic division as of the left hand side, the meaning is
.
The corresponding parts will give your answers.
Answer by
timofer(105)
(
Show Source
):
You can
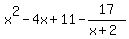
put this solution on YOUR website!
-2 | 1 -2 3 5 | | -2 8 -22 |______________________ 1 -4 11 -17