Question 1206675: list ALL roots (rational, irrational, and/or complex) of the given polynomial equation by using the methods discussed in this lesson. show work.
4x^3 + 16x^2 - 22x - 10 = 0
Found 2 solutions by MathLover1, greenestamps: Answer by MathLover1(20850) (Show Source): Answer by greenestamps(13219) (Show Source):
You can put this solution on YOUR website!


The possible rational roots are 1, -1, 5, -5, 1/2, -1/2, 5/2, and -5/2.
You could test each possible root using synthetic division, but that would be a long slow process. Checking for zeros (roots) by evaluating the polynomial for each root is faster.
x=1: 2+8-11-5 = -6 --> not a root
x=-1: -2+8+11-5 = 12 --> not a root
x=5: 250+200-55-5 = 490 --> not a root
x=-5: -250+200+55-5 = 0 --> -5 is a root
Divide the polynomial by (x-(-5)) to find the remaining quadratic polynomial.
-5 | 2 8 -11 -5
| -10 10 5
+---------------
2 -2 -1 0
This tells us that

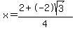
The quadratic factor is not factorable over the integers; find the other two roots using the quadratic formula. The other two (irrational) roots are

ANSWERS: , , 
|
|
|