SOLUTION: hi i really dont understand what to do for this equation please help me out. thanks i apreciate it. (16x) over (25x^2-5) times ( 2x^2-x-1) over(8x)

Algebra ->  Polynomials-and-rational-expressions -> SOLUTION: hi i really dont understand what to do for this equation please help me out. thanks i apreciate it. (16x) over (25x^2-5) times ( 2x^2-x-1) over(8x)       Log On


   



Question 119550: hi i really dont understand what to do for this equation please help me out. thanks i apreciate it.
(16x) over (25x^2-5) times ( 2x^2-x-1) over(8x)

Answer by jim_thompson5910(35256) About Me  (Show Source):
You can put this solution on YOUR website!
%28%2816x%29%2F%2825x%5E2-5%29%29%28%282x%5E2-x-1%29%2F%288x%29%29 Start with the given expression

%28%2816%28x%29%29%2F%2825x%5E2-5%29%29%28%282x%5E2-x-1%29%2F%288x%29%29 Factor 16x to get 16%28x%29

%28%2816%28x%29%29%2F%285%285x%5E2-1%29%29%29%28%282x%5E2-x-1%29%2F%288x%29%29 Factor 25x%5E2-5 to get 5%285x%5E2-1%29

%28%2816%28x%29%29%2F%285%285x%5E2-1%29%29%29%28%28%28x-1%29%282x%2B1%29%29%2F%288x%29%29 Factor 2x%5E2-x-1 to get %28x-1%29%282x%2B1%29

Factor 8x to get 8%28x%29


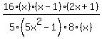
16%28x%29%28x-1%29%282x%2B1%29%2F5%285x%5E2-1%298%28x%29 Combine the fractions


16cross%28x%29%28x-1%29%282x%2B1%29%2F5%285x%5E2-1%298cross%28x%29 Cancel like terms



2%28x-1%29%282x%2B1%29%2F5%285x%5E2-1%29 Divide and simplify



So %28%2816x%29%2F%2825x%5E2-5%29%29%28%282x%5E2-x-1%29%2F%288x%29%29 simplifies to 2%28x-1%29%282x%2B1%29%2F5%285x%5E2-1%29



In other words,