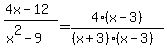
SOLUTION: i am really havinging trouble can you please help me with this problem * simplify the following 4x-12 divide by x squared-9
Algebra
->
Polynomials-and-rational-expressions
-> SOLUTION: i am really havinging trouble can you please help me with this problem * simplify the following 4x-12 divide by x squared-9
Log On
Algebra: Polynomials, rational expressions and equations
Section
Solvers
Solvers
Lessons
Lessons
Answers archive
Answers
Click here to see ALL problems on Polynomials-and-rational-expressions
Question 119524
:
i am really havinging trouble can you please help me with this problem
* simplify the following
4x-12 divide by x squared-9
Answer by
Fombitz(32388)
(
Show Source
):
You can
put this solution on YOUR website!