SOLUTION: Factor Each expression: x^3 +x^2 -x -1
Algebra
->
Polynomials-and-rational-expressions
-> SOLUTION: Factor Each expression: x^3 +x^2 -x -1
Log On
Algebra: Polynomials, rational expressions and equations
Section
Solvers
Solvers
Lessons
Lessons
Answers archive
Answers
Click here to see ALL problems on Polynomials-and-rational-expressions
Question 119398
:
Factor Each expression:
x^3 +x^2 -x -1
Answer by
jim_thompson5910(35256)
(
Show Source
):
You can
put this solution on YOUR website!
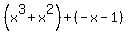
Start with the given expression
Group like terms
Factor out the GCF
out of the first group. Factor out the GCF
out of the second group
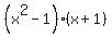
Since we have the common term
, we can combine like terms
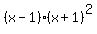
Now factor
by using the difference of squares
Multiply
So
factors to