SOLUTION: Find a polynomial function of degree 4 with the zeros -1 ​(multiplicity 2 ​) and 1 ​(multiplicity 2 ​), whose graph passes through the point (-2,36) .

Algebra ->  Polynomials-and-rational-expressions -> SOLUTION: Find a polynomial function of degree 4 with the zeros -1 ​(multiplicity 2 ​) and 1 ​(multiplicity 2 ​), whose graph passes through the point (-2,36) .      Log On


   



Question 1192874: Find a polynomial function of degree 4 with the zeros -1 ​(multiplicity 2 ​) and 1 ​(multiplicity 2 ​), whose graph passes through the point (-2,36) .
Answer by josgarithmetic(39620) About Me  (Show Source):
You can put this solution on YOUR website!
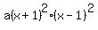
Start with a%28x%2B1%29%5E2%28x-1%29%5E2; and the polynomial value is 36 if x equals -2.