SOLUTION: A polynomial P is given. P(x) = x^4 + 18x^2 + 81 (a) Factor P into linear and irreducible quadratic factors with real coefficients. (b) Factor P completely into linear factors w

Algebra ->  Polynomials-and-rational-expressions -> SOLUTION: A polynomial P is given. P(x) = x^4 + 18x^2 + 81 (a) Factor P into linear and irreducible quadratic factors with real coefficients. (b) Factor P completely into linear factors w      Log On


   



Question 1185631: A polynomial P is given.
P(x) = x^4 + 18x^2 + 81
(a) Factor P into linear and irreducible quadratic factors with real coefficients.
(b) Factor P completely into linear factors with complex coefficients.





Find all zeros of the polynomial. (Enter your answers as a comma-separated list. Enter all answers including repetitions.)
P(x) = 16x^4 + 16x^3 + 20x^2 + 16x + 4

Answer by MathLover1(20850) About Me  (Show Source):
You can put this solution on YOUR website!

A polynomial P is given.
P%28x%29+=+x%5E4+%2B+18x%5E2+%2B+81
(a) Factor P into linear and irreducible quadratic factors with real coefficients.
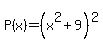
P%28x%29+=+x%5E4+%2B+18x%5E2+%2B+81....write x%5E4 as %28x%5E2%29%5E2 and 81 as 9%5E2
P%28x%29+=+%28x%5E2%29%5E2+%2B+18x%5E2%2B+9%5E2.....recognize square of the sum
P%28x%29+=+%28x%5E2++%2B9+%29%5E2

(b) Factor P completely into linear factors with complex coefficients.
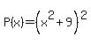
P%28x%29+=+%28x%5E2++%2B9+%29%5E2+
P%28x%29+=+%28x%5E2++%2B9+%29%28x%5E2++%2B9+%29.............x%5E2++%2B9+=%28x+%2B+3i%29%28x+-+3i%29
P%28x%29+=%28x+-+3i%29%5E2+%28x+%2B+3+i%29%5E2

Find all zeros of the polynomial. (Enter your answers as a comma-separated list. Enter all answers including repetitions.)
P%28x%29+=+16x%5E4+%2B+16x%5E3+%2B+20x%5E2+%2B+16x+%2B+4
P%28x%29+=+4%284x%5E4+%2B+4x%5E3+%2B+5x%5E2+%2B+4x+%2B+1%29
P%28x%29+=+4%284x%5E4+%2B+4x%5E3+%2B+4x%5E2%2Bx%5E2+%2B+4x+%2B+1%29.....group
P%28x%29+=+4%28%284x%5E4+%2B+4x%5E2%29+%2B+%284x%5E3%2B+4x%29%2B%28x%5E2++%2B+1%29%29
P%28x%29+=+4%284x%5E2%28x%5E2+%2B+1%29+%2B+4x%28x%5E2%2B+1%29%2B%28x%5E2++%2B+1%29%29
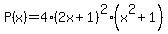
P%28x%29+=+4%284x%5E2+%2B+4x%2B1%29%28x%5E2++%2B+1%29
P%28x%29+=+4%28%282x%29%5E2+%2B+4x%2B1%29%28x%5E2++%2B+1%29
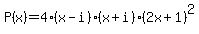
P%28x%29+=4%282x+%2B+1%29%5E2+%28x%5E2+%2B+1%29.........x%5E2+%2B+1=0=>x%5E2+=-1 =>%28x+-+i%29+%28x+%2B+i%29+
P%28x%29+=4%28x+-+i%29+%28x+%2B+i%29+%282+x+%2B+1%29%5E2