SOLUTION: I'm asked here to simplify. Please view document for equation. https://docs.google.com/document/d/1Cl3HrcoR6jibNzxfDTIilS3imSplLY8nQUU0OpU9vLA/edit?usp=sharing

Algebra ->  Polynomials-and-rational-expressions -> SOLUTION: I'm asked here to simplify. Please view document for equation. https://docs.google.com/document/d/1Cl3HrcoR6jibNzxfDTIilS3imSplLY8nQUU0OpU9vLA/edit?usp=sharing      Log On


   



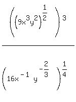
Question 1181186: I'm asked here to simplify. Please view document for equation.
https://docs.google.com/document/d/1Cl3HrcoR6jibNzxfDTIilS3imSplLY8nQUU0OpU9vLA/edit?usp=sharing

Found 2 solutions by Theo, MathTherapy:
Answer by Theo(13342) About Me  (Show Source):
You can put this solution on YOUR website!
the answer that i get is:

13.5 * x^(19/4) * y^(38/12)

this can be simplified to:

13.5 * x^(19/4) * y^(19/6)

see my worksheet for the steps that i took to get to the simplified anaswer.

i verified with random values of x and y that the original expression and the final expression give you the answer.

here's my worksheet.



step 1 translates the numerator to exponential form and simplifies it using the following conecpts.

square root of (x) = x^(1/2)
(a * x^b * y^c) ^ d = a^d * (x^b)^d * (y^c)^d = a^d * x^(b*d) * y^(c*d)

step 2 translates the denominator to exponential form and simplifies it using the following concepts.

fourth root of (x) = x^(1/4)
(a * x^b * y^c) ^ d = a^d * (x^b)^d * (y^c)^d = a^d * x^(b*d) * y^(c*d)

step 3 translates x^a / x^b to x^(a-b) and y^c / y^d to y(c-d)

the fractional exponents are then simnplified as much as possible.

the basic rules for exponent arithmetic are:

x^a * x^b = x^(a + b)

x^a / x^b = x^(a - b)

(x^a)^b = x^(a * b)

x^(-a) = 1/x^a)

(x^a / y^b) ^ c = (x^a)^c / (y^b)^c = x^(a*c) / y^(b*c)

(x^a * y^b) ^ c = (x^a)^c * (y^b)^c = x^(a*c) * y^(b*c)

here's a reference on exponent arithmetic.

https://www.mathplanet.com/education/pre-algebra/discover-fractions-and-factors/powers-and-exponents

here's another.

https://www.mathplanet.com/education/pre-algebra/discover-fractions-and-factors/powers-and-exponents

this reference has 5 pages associated with it for a complete tutorial.









Answer by MathTherapy(10556) About Me  (Show Source):
You can put this solution on YOUR website!

I'm asked here to simplify. Please view document for equation.
https://docs.google.com/document/d/1Cl3HrcoR6jibNzxfDTIilS3imSplLY8nQUU0OpU9vLA/edit?usp=sharing
 ===>  ====>  =====>  
====> ====> ===>