SOLUTION: A triangle has vertices J( 1, 2), K(-3,-1) and L(O,-5). (Hint: Draw a labelled diagram) a) Is the above triangle a right triangle? Show all work using analytical geometry tools

Algebra ->  Polynomials-and-rational-expressions -> SOLUTION: A triangle has vertices J( 1, 2), K(-3,-1) and L(O,-5). (Hint: Draw a labelled diagram) a) Is the above triangle a right triangle? Show all work using analytical geometry tools      Log On


   



Question 1180249: A triangle has vertices J( 1, 2), K(-3,-1) and L(O,-5). (Hint: Draw a labelled diagram)
a) Is the above triangle a right triangle? Show all work using analytical geometry tools to help support your answer. [6M]
b) Find the perimeter of the triangle

Answer by MathLover1(20850) About Me  (Show Source):
You can put this solution on YOUR website!
a) Is the above triangle a right triangle? Show all work using analytical geometry tools to help support your answer. [6M]

J( 1, 2), K(-3,-1) and L(0,-5)



the above triangle is a right triangle

b) Find the perimeter of the triangle
first find side lengths
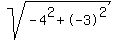
find JK
Solved by pluggable solver: Distance Between 2 points
The distance formula is sqrt%28%28%28x%5B2%5D-x%5B1%5D%29%5E2%29%2B%28%28y%5B2%5D-y%5B1%5D%29%5E2%29%29. Plug in the numbers,
sqrt%28%28%28-3-%281%29%29%5E2%29%2B%28%28-1-%282%29%29%5E2%29%29
sqrt%28-4%5E2%2B-3%5E2%29 The distance is 5.


JK=5
find KL
Solved by pluggable solver: Distance Between 2 points
The distance formula is sqrt%28%28%28x%5B2%5D-x%5B1%5D%29%5E2%29%2B%28%28y%5B2%5D-y%5B1%5D%29%5E2%29%29. Plug in the numbers,
sqrt%28%28%28-3-%280%29%29%5E2%29%2B%28%28-1-%28-5%29%29%5E2%29%29
sqrt%28-3%5E2%2B4%5E2%29 The distance is 5.


KL=5

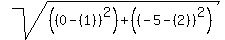
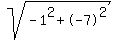
find JL

Solved by pluggable solver: Distance Between 2 points
The distance formula is sqrt%28%28%28x%5B2%5D-x%5B1%5D%29%5E2%29%2B%28%28y%5B2%5D-y%5B1%5D%29%5E2%29%29. Plug in the numbers,
sqrt%28%28%280-%281%29%29%5E2%29%2B%28%28-5-%282%29%29%5E2%29%29
sqrt%28-1%5E2%2B-7%5E2%29 The distance is 7.07106781186548.


JL=7.07

perimeter is:
P=5%2B5%2B7.07=17.07