|  | 
| 
 
 
| Question 117937:  Using the foil method, I cant seem to figure this one out. Please help...
 2x^2+5x-6
 Found 2 solutions by  jim_thompson5910, bucky:
 Answer by jim_thompson5910(35256)
      (Show Source): Answer by bucky(2189)
      (Show Source): 
You can put this solution on YOUR website! First notice that the coefficients and the constant term are 2, 5, and 6. They do not have common factors (other than 1, of course) so you can not pull out a common numeric factor. Therefore,
 you begin by examining the first term of the expression and you notice that 2x^2 can only
 factor to 2x*x. So set up two sets of parentheses:
 .
 (2x _____)*(x _____)
 .
 What goes into the blanks in these parentheses must be a pair of factors of 6, the constant term
 in the polynomial. There are only two factor pairs of 6 as follows:
 .
 1 and 6 or
 2 and 3
 .
 Since the 6 in the polynomial has a negative sign, one of the numbers in each pair of factors
 must have a negative sign.
 .
 Anyhow, this means that there are 4 possible factors of the original polynomial as follows:
 .
 (2x 1)*(x 6) or
 (2x 6)*(x 1) or
 (2x 2)*(x 3) or
 (2x 3)*(x 2)
 .
 In addition in each of these 4 possibilities we need to decide where the plus and minus signs go.
 .
 In the first possible solution the 6 multiplies the 2x to give 12x and the 1 multiplies
 the x to give just x. There is no way that 12x and x can be combined to give the 5x in the
 original polynomial. Therefore, this first possible solution (2x 1)*(x 6) will not work because
 it cannot be multiplied out to give the original polynomial.
 .
 The second possible solution (2x 6)*(x 1) will also not work. The 6 multiplies the x to give 6x
 and the 1 multiplies the 2x to give 2x. There is no way that 6x and 2x can be combined to
 give 5x. Therefore, disregard this possibility.
 .
 In the third possible solution (2x 2)*(x 3) the 3 multiplies the 2x to give 6x and the 2 multiplies
 the x to give 2x. There is no way 6x and 2x can be added or subtracted to give 5x.
 .
 The fourth and final possibility is (2x 3)*(x 2). In this pair of factors the 2 multiplies 2x
 to give 4x. And the 3 multiplies the x to give 3x. There is no way that 2x and 4x can be
 combined by addition or subtraction to give the +5x of the original polynomial.
 .
 What does this all mean???? It means that the polynomial 2x^2 + 5x - 6 does not factor nicely.
 .
 The quadratic formula can be used to factor 2x^2 + 5x - 6 into two "binomial" factors.
 .
 2x^2 + 5x - 6 = 0 is in the standard form ax^2 + bx + c = 0. By comparing these two you can
 see that for your problem a = 2, b = 5, and c = -6. According to the quadratic formula, the
 answer for x is:
 .
 
  .
 For your answers substitute the values of a, b, and c to get:
 .
 
  .
 The constants inside the radical compute to be:
 .
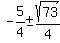
 25 + 48 = 73
 .
 This makes the radical become the square root of 73. the -(+5) is just -5 and in the denominator
 the 2*2 is 4. Substituting all these results gives:
 .
 
  .
 Subtracting
  from both sides results (one at a time) gives: .
 
  and .
 
  .
 This means that factors of the left side of
  are: .
 
  .
 If you multiply these two factors together you get:
 .
 
  .
 This is half of what you need to get back to the original equation. So you can add a factor of 2
 to get that the factored form is:
 .
 
  .
 A solution to the problem, but not the easy version of having two binomials as factors.
 .
 A little complex, but maybe this is something that will work for you.
 .
 | 
  
 | 
 |  |  |